Aglomeración, encadenamientos industriales y cambios en
la localización manufacturera en México
Jorge Eduardo
Mendoza-Cota*
Jorge Alberto
Pérez-Cruz**
Abstract
In the
period between 1980 and 2003 the manufacturing industry in Mexico experienced a
dispersion process that has resulted in a grater industrial concentration in
the country. This situation has favoured most of the
States in the north and those around Mexico City and the State of Mexico. The
main aim of this paper is to establish an econometric model based on the generalised momentum method in order to evaluate the impact
of industrial linkage, agglomeration and distance on the decisions for the localisation of manufacturing enterprises in Mexico. The
econometric estimates show some evidence that the spreading of industry had
negative effects, which have weakened the intra-industrial relationships, the
scale economies and the industrial linkage.
Keywords:
regional
economy, growth and development analysis, industrial studies, industrialisation.
Resumen
En el periodo
de 1980 a 2003 la industria manufacturera en México experimentó un proceso de
dispersión que resultó en una mayor concentración industrial en el país, siendo
los estados de la Frontera Norte y los estados alrededor de la Ciudad de México
y el Estado de México los más favorecidos. El presente trabajo tiene como
objetivo establecer un modelo econométrico basado en la técnica del método
generalizado de momentos, con el fin de evaluar el impacto de los
encadenamientos industriales, la aglomeración y la distancia en las decisiones
de localización de las empresas manufactureras en México. Las estimaciones
econométricas muestran evidencia de que la dispersión de la industria tuvo
efectos negativos, debilitando las relaciones intra-industriales,
las economías de escala y los encadenamientos industriales.
Palabras clave:
economía regional, análisis del crecimiento y desarrollo, estudios
industriales, industrialización.
*
Departamento de Estudios Económicos, El Colegio de la Frontera Norte. Correo-e:
emendoza@colef.mx
** Departamento de Economía,
Instituto de Cultura Laboral y Empresarial, Universidad Autónoma de Tamaulipas.
Correo-e: jperezc@uat.edu.mx
Introducción
Los cambios
regionales de la estructura económica se iniciaron a partir de la
liberalización comercial experimentada en la década de los ochenta, cuando la
economía mexicana ingresó al Acuerdo General sobre Aranceles Aduaneros y
Comercio (gatt) y posteriormente
cuando se incorporó al Tratado de Libre Comercio de América del Norte (tlcan) en 1994. Ese cambio en la
política comercial representó una alternativa de mercado para la industria en
términos de rentabilidad. Asimismo, es importante destacar que la apertura se
presentó en un contexto de deseconomías de escala,
generadas como consecuencia de la excesiva concentración de actividades
económicas en la Ciudad de México y el Estado de México. Lo anterior provocó
que la geografía económica del sector industrial manufacturero experimentara
una reestructuración espacial.
En la presente
investigación se analiza el cambio regional en la localización de la industria
manufacturera en México en el periodo de 1980 a 2003. Con el fin de lograr este
objetivo se propone, primeramente, una regionalización alternativa a la
realizada por Hanson (1994b), sustentándose dicho cambio con el Índice de
Dimensión Regional (idr) y con un
modelo del crecimiento del empleo. El primero indica el potencial de cada una
de las regiones, y el segundo estima el crecimiento, con base en los factores
que influyen en la formación y dispersión de aglomeraciones industriales.
Aunque existen
trabajos que intentan explicar el cambio en las aglomeraciones industriales, no
se ha presentado evidencia clara en la definición de qué factores influyen en
dicha reestructuración espacial. Al respecto, Krugman
(1991a) ha señalado que la formación de economías de escala en regiones
alternas, combinada con la apertura comercial, pudiese representar una fuente
de ganancias adicionales para ciertas empresas o industrias, motivando así la
formación de nuevas aglomeraciones industriales en esas regiones. Este
argumento podría tener cierta validez si se observa que el periodo posterior a
la apertura en 1985 hasta 2003, se caracterizó por las elevadas tasas de
crecimiento de la industria en los estados de la frontera norte (efn), medidas en términos del número de
trabajadores, mientras que la región comprendida por la Ciudad de México y el
Estado de México (cmem) mostró
tasas de crecimiento negativas. Sin embargo, también se observa que otras
regiones crecieron, como es el caso de los estados alrededor de la cmem (eacmem)
y la Zona Sur.
Por su parte,
Henderson, Kuncoro y Turner (1995), mediante un
modelo de ciudades, explican que el crecimiento de la población y la
descentralización del gobierno estimulan el crecimiento de las ciudades y las
aglomeraciones. Asimismo, plantean el debate que existe con relación a la
posibilidad de que grandes aglomeraciones puedan generar externalidades
negativas, que se reflejen en la dispersión de la industria y favorezcan a
otras regiones. Esta perspectiva de análisis sustenta el crecimiento que
experimentó la región de los eacmem.
En este trabajo
de investigación se retoman los planteamientos de la Nueva Geografía Económica
(nge)
con el fin de establecer los conceptos teóricos que permitan explicar el cambio
espacial de las actividades económicas. Mediante los conceptos de fuerzas
centrípetas y fuerzas centrífugas de Krugman (1991b),
se trata de establecer e identificar los factores que incentivaron a la industria
a modificar su patrón de localización geográfica ante la eminente apertura
económica.
En el presente
estudio se pretende comprobar las siguientes hipótesis sobre el comportamiento
en la localización industrial del sector manufacturero:
·
La
apertura comercial influyó en un mayor crecimiento en la participación
industrial del sector manufacturero en la región fronteriza y ha generado un
proceso dispersivo de la industria en la región central del país.
·
La
determinación de los costos de transporte ha sido de singular relevancia. La
mayor dinámica comercial con Estados Unidos se ve reflejada en un mayor peso de
esos costos, al medirse éstos en relación con la distancia que existe entre
cada uno de los estados fronterizos con ese mercado.
·
Los
encadenamientos hacia atrás y hacia adelante, el comercio intraindustrial
y las economías de escala, considerados como factores externos, han influido en
un cambio geográfico de las actividades manufactureras, generando nuevos
patrones de aglomeración en la región fronteriza del norte del país.
·
Aquellas
actividades manufactureras que se han dispersado de la Zona Centro hacia la
región fronteriza norte del país, están fuertemente vinculadas con el sector
externo.
Este trabajo de
investigación se constituye de tres apartados: en el primero se plantean los
aspectos teóricos de la investigación, haciéndose referencia a los principales
factores que influyen en los cambios geográficos de la localización industrial;
en la segunda parte se exponen la evolución y la situación del sector
manufacturero en México de 1980 a 2003, y en la tercera parte se plantean el
modelo econométrico y cada una de las variables que lo componen, así como los
resultados obtenidos. En una sección final se discuten las conclusiones del
trabajo realizado. Además, se incorpora un anexo estadístico donde se muestran
los resultados obtenidos.
1. Aspectos teóricos
sobre los cambios regionales y la aglomeración industrial
1.1. La Nueva
Geografía Económica frente al cambio regional
El enfoque
denominado Nueva Geografía Económica tiene su base teórica en el análisis del
crecimiento económico regional y la teoría de la localización. Su desarrollo
parte del trabajo de Krugman (1991b), quien con un
modelo de oferta, en un contexto de economías externas, explica la decisión de
la localización de las actividades económicas, mediante la relación existente
entre el salario y los costos de transporte. El modelo demuestra que un país
puede crecer dentro de un centro industrializado y una periferia como resultado
de la interacción de los mercados imperfectamente competitivos. Los supuestos
sobre la estructura de mercados, por tanto, determinan que estos planteamientos
se caractericen por presentar una visión alternativa en el análisis de los
cambios en la geografía económica y el crecimiento y desarrollo económico.
Asimismo, para
entender la localización industrial a partir de la relación no cooperativa en
la determinación de la producción, Parr (2002) indica
que es importante considerar la estructura del espacio económico que determina
el tamaño de las ciudades. Es decir, los grandes centros industriales
representan una oportunidad de crecimiento para las regiones y una fuente en la
formulación de estrategias para el desarrollo regional y la generación de
encadenamientos industriales, situación que se manifiesta en la formación de
grandes centros urbanos con mejores servicios públicos, accesibilidad a las
comunicaciones de mayor desarrollo tecnológico, ampliación del servicio de
transporte, una extensa gama de especialidades en la mano de obra, y el
incremento de empresas cada vez más heterogéneas. Este último aspecto conlleva
a una mayor complementariedad en la industria y a la formación de economías de
escala, lo que constituye así una fuente inapreciable para el crecimiento y
desarrollo económico de las regiones, según Hirschman
(1958).
Cabe destacar
que el cambio regional y el crecimiento interactúan en las distintas
actividades dentro de la estructura económica regional, así que es difícil
esperar que una sola de éstas cause tal cambio o crecimiento. Por ello, una
forma de aproximarse a la dinámica regional es la de analizar la manera en que
los cambios son transferidos de una actividad regional a otra o de un factor de
localización a otro (Hoover, 1971). En particular, el
modelo de la Nueva Geografía Económica establece que el cambio en el
crecimiento económico puede ser explicado por medio de los factores que
influyen en la localización de los grandes centros industriales. Además,
proporciona una explicación a la dispersión industrial estableciendo que
existen factores que actúan en contra de las aglomeraciones industriales.
Krugman (1991b) señala que en una región
existen fuerzas centrípetas cuando las condiciones son adecuadas para la
formación de economías de aglomeración. Si, por el contrario, imperan
condiciones que actúan en favor de la dispersión de las aglomeraciones de una
región en particular, se dice que existen fuerzas centrífugas. Cabe destacar
que en este estudio se considera de manera específica el impacto de las
economías de escala en la correlación entre fuerzas centrífugas y centrípetas.
Al respecto, Fujita y Thisse
(2002) indican que los fundamentos para incorporar las economías de escala del
sector de bienes finales en el análisis de la localización se relacionan con la
existencia de un sector de bienes intermedios caracterizado por estar en un
mercado de competencia monopolística. Adicionalmente, la interacción de las
economías de escala con los costos de transporte en el traslado de insumos de
producción, es un factor determinante en la localización económica. En la
medida en que los costos marginales de las firmas (incluidos los costos de
transporte) se elevan con el incremento del traslado de insumos de un lugar a
otro, el tamaño óptimo de la firma debe encontrarse en la fase de retornos
crecientes.
En el presente
estudio se asume que, como resultado de la apertura económica de México, se han
presentado cambios regionales en la dinámica de la localización industrial que
están relacionados con las fuerzas que determinan la aglomeración de
actividades económicas en una región. En particular, se destacan los efectos de
las economías de especialización, las economías de escala, los encadenamientos
y los costos de transporte como fenómenos que han afectado la ubicación de la
industria manufacturera en México.
1.2. Determinantes
en el cambio regional de la industria
Krugman y Livas
(1992) han señalado la importancia de incluir tanto las fuerzas centrípetas
como las fuerzas centrífugas en los modelos de crecimiento económico regional
con objeto de entender e identificar los factores que explican el crecimiento
industrial a través de las regiones. Previamente a estos autores, el estudio de
Henderson (1974) mostró que un sistema de ciudades se puede desarrollar a partir
de las fuerzas centrípetas y centrífugas, donde las primeras surgen de las
economías externas positivas y, las segundas, de los crecientes costos de la
localización. En el cuadro 1 se clasifican cada una de esas fuerzas y se
describe su impacto en la localización de actividades económicas.
Cuadro 1
Determinantes
del cambio regional: fuerzas centrípetas y centrífugas
|
Fuerza |
Descripción |
|
Fuerza
centrípeta |
|
|
Mercado laboral especializado |
Los
empleadores pueden acceder a mano de obra calificada y los trabajadores se
pueden emplear más fácilmente. |
|
La complementariedad del
mercado |
Hirschman (1958) denomina a la
complementariedad del mercado como eslabonamientos anterio
res (hacia atrás) y posteriores (hacia adelante). En el primer caso,
establece que la industria se situará en la región en donde sea fácil el
acceso a sus insumos, mientras que el segundo refleja el hecho de que la
industria concentrará su producción en aquella región donde no solamente
sirva para abas tecer la
demanda final, sino que también represente un insumo para otras industrias. |
|
Transferencia tecnológica y de
conocimiento |
La
industria, en su conjunto, se beneficia de la innovación que se presenta
tanto en los procesos de producción
como en la elaboración de nuevos productos. Las innovaciones son adoptadas
por la industria con objeto de mejorar la eficiencia de sus operaciones. |
|
Redes de
transporte |
Acceso a otros mercados a un menor costo de transporte. |
|
Economías de escala |
Constituye
un incentivo para la concentración industrial, ya que se obtienen ganancias
adicionales de la interacción entre
las empresas (Fujita y Thies,
2002). |
|
Infraestructura educativa |
Contar
con instituciones educativas acordes a las necesidades regionales de la
industria. A este respecto, Henderson (2005) señalan que trabajadores con una
mejor educación mejorarán la escala de
producción. |
|
El costo de vida es menor |
Los
servicios y bienes deben ser accesibles, con un precio menor respecto a los
centros con grandes aglomeraciones
industriales. Además, la delincuencia, la contaminación y los tiempos de
traslados son menores. |
|
Menor competitividad |
La
industria desea localizarse en donde existan oportunidades de crecimiento que
le permitan desarrollar actividades
que no han sido exploradas. |
|
|
Fuerza Centrífuga |
|
Altos costos de vida en grandes
centros urbanos |
Altos
tiempos de traslados, delincuencia, altos costos de los servicios y bienes,
etc., son consecuencia de ubicarse en grandes centros urbanos. |
|
Descentralización del gobierno |
Según
Henderson (2005), la mayor autonomía a los estados y municipios, combinada
con una mejor distribución de los recursos fiscales, se ve reflejada en la
dispersión industrial de los grandes centros industriales. |
|
Excesiva competitividad |
Existen
menos oportunidades de crecimiento como consecuencia de las grandes
aglomeraciones de la industria. |
|
Mayor contaminación |
Impacta
en el deterioro de la salud y del ambiente donde se convive, provocando que
la población decida ubicarse en un
centro urbano alterno. |
|
Deseconomías
externas |
La aglomeración
excesiva o congestión de la industria genera externalidades negativas,
reflejándose en elevados costos de
transporte, mayores salarios, etc. |
Fuente: Elaboración
propia.
Fujita, Krugman y
Venables (1999), creen que los planteamientos marshallianos
(primeras tres fuerzas centrípetas del cuadro 1) explican la realidad de los
centros industriales; sin embargo, reconocen que tanto la transferencia de
tecnología como el mercado laboral especializado han sido considerados de
manera menos rigurosa en los modelos empíricos, ya que se asumen explícitamente
dentro de éstos (por medio de economías de escala y relaciones intraindustriales). No sucede lo mismo con la medición de
los encadenamientos o eslabonamientos en los modelos de la Nueva Geografía
Económica, en los que estos fenómenos han sido de gran importancia para
explicar el crecimiento industrial.
2. Análisis de la
apertura comercial en el sector manufacturero
Los cambios de la
economía mexicana durante la década de los noventa nos permiten estudiar los
efectos del comercio internacional sobre la localización industrial porque ha
experimentado cambios en su estructura económica (particularmente en el sector
manufacturero) como resultado del proceso de liberalización comercial (gatt y tlcan).
Algunos autores que han estimado el impacto de la apertura en el crecimiento
económico, consideran que éste ha sido positivo; es el caso de Díaz-Bautista
(2003) y Mendoza y Villeda (2006).
Por su parte,
Hanson (1998) establece que cuando una economía disminuye sus barreras
comerciales se incrementa la demanda extranjera de los bienes producidos
internamente. Asimismo, reconoce que el libre comercio constituye un incentivo
para desplazar la producción hacia regiones con mejor acceso al mercado
extranjero (donde la minimización del costo de transporte está implícita), como
es el caso de las áreas fronterizas o ciudades con puertos. También argumenta
que es más probable que ese proceso de dispersión acontezca en regiones con
economías pequeñas y gran participación en las exportaciones.
De acuerdo con
esta perspectiva analítica, se observa que en el contexto de las actividades
económicas de México en el 2003, el sector manufacturero tuvo una participación
de 26% en la economía y de 90% en el sector externo (Gráficos i y ii del Anexo estadístico).[1]
Asimismo, se puede establecer que las importaciones son altas y se han
mantenido relativamente estables a partir de 1985. Sin embargo, no sucede así
con las exportaciones, ya que se observa un crecimiento acelerado después de la
apertura comercial en 1985, que continúa así hasta 1994, y para los siguientes
periodos se observan pequeñas variaciones. Estos resultados resaltan la
importancia del sector manufacturero en el sector externo. Un aspecto relevante
que se destaca del comportamiento histórico de los indicadores es que éstos
muestran que el crecimiento del sector manufacturero había sido consistente
desde la década de los ochenta.
En el gráfico 3
del Anexo estadístico se muestra la participación de las exportaciones y las importaciones
hacia Estados Unidos en el periodo comprendido de 1990 a 2003. Específicamente
se puede observar que el comercio con ese país es muy dinámico e importante,
pues representa a finales del 2003 casi 90% con relación a las exportaciones
que se realizan en el país, y alrededor de 65% en las importaciones, lo que
permite concluir que el mercado de Estados Unidos es el más importante en
materia de comercio exterior, y ello podría justificar el cambio regional en
México.
2.1. El cambio
regional en México
Al analizar los
niveles y tasas de crecimiento regionales de la población y de la industria en
los periodos previos y posteriores a la apertura comercial (1985 y 1994), se
pueden observar cambios sustanciales en la concentración industrial regional en
México. En lo que respecta a población, el Distrito Federal y el Estado de
México concentraron aproximadamente 25% del total de la población en 1980; sin
embargo, en el periodo de 1980 a 1990 ésta disminuyó en 9.4%. Por su parte, en
los eacmem
y en los efn
se observó un crecimiento de 4.3% y de 1.9%, respectivamente. Debe resaltarse
que para el periodo de 1990 al 2000, la proporción de la población en los efn creció a
una tasa relativamente mayor que la del resto de las regiones, alcanzando un
crecimiento de 4.71%. La región de los eacmem tuvo en la misma década
una caída de alrededor de 0.18% en el mismo rubro (véase cuadro 2 del Anexo
estadístico).
Con relación a
los grandes centros urbanos e industriales con más de cinco millones de
habitantes (zonas altamente aglomeradas, zaa), se tomaron en cuenta al
Distrito Federal y los estados de Jalisco, México, Nuevo León, Puebla y
Veracruz, que concentraron aproximadamente 48% de la población en 1980, aunque
en dos décadas tuvieron un decrecimiento de 6%.
En general, los
cambios ocurridos en los niveles de la población entre 1980 y el 2000 muestran
que los efn
y los eacmem
tuvieron un crecimiento importante con tasas de alrededor de 7 y 4%,
respectivamente. Por el contrario, la población de la región de la cmem cayó 9%
en las dos mismas décadas.
Un elemento a
destacar es que la Zona Sur mostró tasas de crecimiento relativamente altas en
la década de los ochenta, cuando se alcanzó un crecimiento de 12%. Sin embargo,
en términos de los niveles de participación continúa siendo la de menor
importancia: en 1980 concentraba 14% de la población, y en el año 2000, 16%, es
decir, en dos décadas aumentó sólo 2%, lo mismo que los efn (cuadro 2 del Anexo
estadístico). Es decir, las dos regiones aumentaron en 2% su participación,
pero dado que la participación de la Zona Sur es menor que la de los efn, el
resultado del crecimiento fue más notorio. Además, se debe considerar que la
Zona Sur agrupa a siete estados, mientras que la frontera norte sólo a seis
(cuadro 10 del Anexo estadístico). Lo mismo ocurre en la Zona Centro, cuya
participación en 1980 fue de 65%, lo cual es elevado, aunque debe señalarse que
esta región agrupa a 16 estados. En estas circunstancias, no resulta
conveniente utilizar la tasa de crecimiento de la participación de la población
dado que existe un sesgo en los resultados determinado por la desproporcionada
cantidad de estados por región.
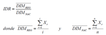
Una alternativa
para eliminar ese sesgo consiste en determinar la importancia relativa de cada
región mediante el Índice de Dimensión Regional (idr); es decir, medir el tamaño
promedio de la región
y compararlo con el tamaño promedio del país
. El resultado del cociente
proporcionará la magnitud de la importancia de la región respecto a la nacional
y su evolución a través del tiempo. La formulación queda representada de la
siguiente manera:

Donde X representa la variable de análisis,
en este caso población, y el subíndice r hace referencia a los estados que
conforman la región (i) y al total de estados en el país (n). Si el idr es menor que 1, se espera que
la región sea pequeña con relación al resto, y por lo tanto su relevancia será
menor. Cuando es superior a 1 sucede lo contrario. En el cuadro 3 del Anexo
estadístico se muestran las estimaciones del idr de la población por regiones.
Los resultados
evidencian que la región del Distrito Federal y el Estado de México continúa
siendo la de mayor importancia en términos de población, aunque su idr ha
disminuido a lo largo del tiempo, pasando de 3.92 en 1980 a un 3.56 en 2000. La
Zona Altamente Aglomerada (zaa)
y la Zona Centro (zc),
aunque incluyen al Distrito Federal y al Estado de México, son regiones más
pequeñas y con una menor importancia, dado que al agruparse con otros estados
de menor potencial, su resultado tiende a disminuir, como se aprecia en el
cuadro 3; de ahí la tolerancia de ponderar a las regiones con el idr.
Lo mismo sucede
con la Zona Norte y los efn,
donde estos últimos son más importantes que la primera, aun cuando la primera
los incluya. Obsérvese que la Zona Norte sólo se diferencia de los efn por
contener dos estados, Baja California Sur y Sinaloa, mismos que poseen un
potencial menor que los estados de la región fronteriza, lo cual influye en un
menor idr.
Cabe mencionar el idr
para los efn
es menor que 1, lo que implica que es una región mucho menor que el promedio de
los estados en México en términos de población, aunque ha crecido
paulatinamente. En lo correspondiente a la región de los eacmem, ocurre allí algo similar
a lo que sucede en los efn:
su índice es menor que 1 aunque éste ha crecido con el tiempo, lo que muestra
que como región va adquiriendo una mayor importancia. Como se mencionó
anteriormente, el crecimiento de la Zona Sur ha sido acelerado. No obstante,
con el idr
se puede apreciar claramente que dicha zona es la de menor importancia en
comparación con el resto de las regiones; es decir, su población regional
promedio es muy inferior al promedio estatal. A la luz de los resultados
derivados de la población se puede establecer que existen cambios importantes
en la participación y crecimiento de las regiones en las dos décadas pasadas,
siendo la región de la cmem
la que perdió terreno en este renglón, y los efn, los eacmem y la Zona Sur, los que
absorbieron dicha pérdida. No obstante, tales resultados no son tan
concluyentes como los obtenidos en el análisis de la industria manufacturera.
En cuanto a los
cambios regionales en la industria manufacturera, en el cuadro 4 se presentan
indicadores sobre la evolución de la participación del empleo manufacturero en
México, y llama la atención la rápida disminución que experimentó la región de
la cmem,
que pasó de 44% en 1980 a 21% en 2003, una pérdida aproximada de 23% en su
participación, lo que evidencia una desagregación considerable en su industria.
Estos mismos patrones se percibieron en la Zona Centro y en la Zona Altamente
Aglomerada (zaa)
metropolitana, donde la primera tuvo una caída de 18%, en el empleo y la
segunda, una de 24% durante el periodo de análisis. La caída de la Zona Centro
fue menor que la experimentada por la región de la cmem debido a que una pequeña
parte del empleo que expulsó esta última fue captada por los eacmem.
Respecto a la Zona Sur, claramente se observa que su participación en el empleo
casi se duplica; sin embargo, continúa siendo una región rezagada, ya que sólo
capta 6% del empleo manufacturero total.
Los resultados
que se obtienen para los efn
son de gran interés, dado que corroboran, en buena medida, el cambio en la
participación regional industrial en México planteado en la parte inicial de
este trabajo de investigación. Así, la tendencia de la participación regional
del empleo manufacturero muestra que éste se incrementó en 25% de 1980 a 2003,
acelerándose principalmente a partir de 1985.
En términos de
crecimiento en el empleo manufacturero, los resultados complementan lo expuesto
en el párrafo anterior (cuadro 5). En forma general, se observan decrecimientos
en la Zona Centro, la zaa
y la región de la cmem.
Por otro lado, el crecimiento del empleo favorece a la Zona Norte, la Zona Sur,
los eacmem
y los efn.
Nuevamente podría resultar confuso el resultado de la Zona Sur, dado que arroja
tasas de crecimiento extremadamente elevadas, pero, como mencionamos
anteriormente, esa zona sí aumentó su participación, aunque moderadamente,
hasta alcanzar 6% del total. Por esta razón, se hace uso nuevamente del idr.
El cuadro 6
muestra el resultado del idr
también conocido como índice de localización del empleo manufacturero. En ese
cuadro, la región con un mayor potencial regional continúa siendo la cmem. Sin
embargo, su índice ha caído significativamente, sobre todo después de la
apertura comercial, pasando de 7.11 a 3.44. Este mismo resultado se aprecia en
el Zona Centro y en la zaa,
pero con un menor idr
dado que se conforman con estados con un menor potencial. Respecto a la Zona
Sur, se aprecia un panorama distinto al de los resultados obtenidos en el
cuadro 5, y claramente se demuestra que la relevancia regional de esa zona, en
términos de empleo manufacturero, es aún mínima.
De manera
destacada se observa que, de acuerdo con el idr, los efn han captado gran parte del
empleo industrial que se ha dispersado de la región central, especialmente de
la región de la cmem,
lo que evidencia el surgimiento de una región competitiva con mejores
perspectivas de rentabilidad, especialmente para el sector manufacturero.
Los cambios
regionales mostrados en los cuadros y gráficos anteriores corroboran la
existencia de una transformación en los patrones regionales de la industria
manufacturera. El Distrito Federal y el Estado de México constituyen la región
que más se ha dispersado en términos del empleo industrial, siendo la región
comprendida por los estados alrededor del Distrito Federal y el Estado de
México, y –la región de los estados de la frontera norte, las que han absorbido
ese empleo, de ahí que su participación haya crecido significativamente. A
continuación se desarrolla un modelo econométrico para estimar el efecto de
variables locales en el cambio regional manifestado. En particular, se busca
evaluar el efecto de las economías externas, las economías de escala, los
encadenamientos industriales y los costos de transporte.
3. Análisis
econométrico
3.1. Modelo
econométrico
En este apartado
se desarrolla la especificación econométrica que refleja el cambio en los
patrones de localización industrial en México derivados de la política
comercial. El enfoque se desarrolla a partir de la derivación de una función de
beneficios, la que permite establecer una representación de la demanda laboral
en el mercado; para ello se considera el “Lema de Hotelling”,
el cual se define en la siguiente relación.[2]
![]()
Donde L representa el número de trabajadores;
P
denota el precio; w, el salario, y z
incorpora todos
aquellos efectos externos que afectan el beneficio. El subscripto indica la
región i
en la actividad industrial j . De esta representación se puede
establecer que existe una relación inversa entre el aumento de la demanda de
trabajo en la región r en la actividad industrial j
y el comportamiento
de los beneficios.
De esta manera,
el modelo econométrico retoma el enfoque que considera que los efectos que
pueden impactar la localización se relacionan con las economías externas y las
economías de escala, en combinación con los costos de transporte. De acuerdo
con la teoría existente, y asumiendo que el sector de bienes finales se
encuentra en un mercado de competencia perfecta y que el mercado de bienes
intermedios se caracteriza por ser de competencia monopolística, las economías
de escala se generan por los siguientes factores:
·
Las
economías externas originadas por la especialización de las actividades
económicas, generan ventajas regionales de localización a las empresas, que se
derivan de la difusión de información y la cercanía de los mercados (Marshall,
1920).
·
Los
mercados más grandes permiten el desarrollo de industrias de insumos más
diversificadas (Ethier, 1982) y de bienes finales (Krugman, 1980), los cuales pueden mejorar la productividad
del sector de bienes finales, incrementando los salarios y el empleo regional.
·
Las
regiones (estados) más grandes pueden desarrollar economías de aglomeración
derivadas de la existencia de una mejor relación entre las necesidades de las
empresas y la disponibilidad de una fuerza laboral heterogénea y especializada
(Helsey y Strange, 1990).
Partiendo de la
idea anterior, se puede evaluar el cambio geográfico del sector manufacturero
considerando la tasa regional de crecimiento de trabajadores en las distintas
actividades industriales. Tomando como referencia los trabajos de Davis y Weinstein (2001), Hanson (1994a), Mendoza y Martínez (1999)
y Mendoza (2003) se pueden implantar aquellos factores que afectan el
crecimiento, tomando en cuenta, para tal caso, el contexto del enfoque externo.
Adicionalmente,
en esta investigación se establecen dos modelos econométricos donde se incluye
el efecto de las fuerzas que coadyuvan a la formación de aglomeraciones
(fuerzas centrípetas), y el efecto de las fuerzas que impulsan la desaparición
de éstas (fuerzas centrífugas). La primera relación se determina midiendo el
efecto de dichas tendencias sobre el comportamiento de la tasa de crecimiento
promedio anual de los trabajadores. Se puede expresar tal relación de la
siguiente manera:

Donde εijt = aij + vijt representa el término de error del
modelo, el cual depende de los efectos inobservables () constantes en el
tiempo, como es el efecto geográfico o de localización, y del error de
variación temporal (vijt) o idiosincrástico,
el cual considera factores que no son observables y varían con el tiempo. Para
obtener estimaciones insesgadas y consistentes de β ij, estas últimas no se deben de
correlacionar con las regresoras. La diferenciación
de las variables regresoras no es una alternativa
viable para eliminar los efectos inobservables, debido a que el periodo entre
cada censo no es lo suficientemente amplio, además de que algunas variables no
tienen tanta variación entre un censo y otro. Finalmente, las variables explicatorias se representan en condiciones o atributos
iniciales para evitar problemas de simultaneidad.
A continuación
se describe el comportamiento de cada una de las variables independientes de la
ecuación. En primer término se construyó el índice de participación del salario
de la región i en la actividad j con relación al total nacional de la
actividad j,
representado de la forma siguiente:
![]()
El salario
constituye un factor que actúa en contra de las aglomeraciones como un factor
de congestión urbana, lo que indica una relación inversa con la tasa de
crecimiento de los trabajadores. Es decir, si el salario aumenta debido a los
efectos de congestión, se dará un proceso de dispersión del empleo de una
región a otra.
El término
siguiente es el costo de transporte, el cual constituye el acceso al mercado y
está representado de dos maneras. Primero, considerando que los costos de
transporte se miden con relación a la distancia entre la capital de cada uno de
los estados y la ciudad más cercana de la frontera norte. A partir de este
indicador se busca estimar el impacto de la apertura comercial en la
localización manufacturera en México, en términos del crecimiento del mercado
de Estados Unidos para las manufacturas mexicanas. Por lo tanto, se esperaría
una relación inversa entre el costo de transporte y el crecimiento de
trabajadores. Segundo, de forma similar se plantea el costo de transporte, utilizando
como punto de referencia al Distrito Federal, dada su importancia como el
mercado doméstico más grande de la economía mexicana. Se considera que existe
una relación negativa con la variable dependiente, debido al impacto de la
distancia en los costos de transporte, representada de la siguiente manera:

Donde D representa la distancia y L el número de trabajadores. Esta forma
de plantear los costos de transporte se deriva de identificar la importancia de
un mercado.
Los siguientes
términos representan una fuente de crecimiento del número de trabajadores en
las regiones; es decir, son fuerzas centrípetas. El primer componente de esta
fuerza son las economías de escala, y está constituido por una variable proxi
de la siguiente forma:
![]()
Donde N representa las unidades económicas.
Esta relación muestra el tamaño promedio de las unidades económicas en una
región i
entre el tamaño promedio de las unidades económicas en la industria j. Esto, por un lado, indicaría un
nivel de tecnología entre las regiones: entre mayor sea el tamaño de los
establecimientos, éstos contarán con mejor tecnología, o viceversa. Por lo
anterior, se establece que una mejor tecnología implicará un mayor nivel de
producción, lo que podría considerase un indicador de economías de escala. En
este sentido, se espera una relación positiva con la variable dependiente.
El siguiente
indicador establece las relaciones intraindustriales
entre las regiones, y fue aplicado por Tomiura
(2003), dicho indicador explica cómo el crecimiento de las regiones se origina
por la interacción industrial y por medio de la especialización entre ellas. La
relación se puede establecer mediante un índice de localización, de la
siguiente manera:

El signo esperado
es positivo, ya que una región que se especializa en una actividad tenderá a
incrementar el nivel de empleo.
Los
encadenamientos hacia atrás están representados por la siguiente expresión:

La variable ins son los insumos, y fbcf constituye la formación bruta de
capital fijo. Esta forma de plantear los encadenamientos hacia atrás resultó de
considerar que un mejor acceso al mercado para obtener los insumos necesarios
en el proceso productivo se reflejaría en una disminución en los costos. El
papel de la distancia es importante, ya que supone que estar más cerca de la
frontera norte, después de la apertura comercial, podría significar una
disminución de los costos en los insumos, pues se tendría un mejor acceso a
ellos. El lado derecho de esta relación representa un factor que suaviza el
efecto de la distancia y la discrepancia en el número de empresas entre las
regiones, donde N constituye el número de empresas en la
región. En consecuencia, se espera un signo negativo.
La última
especificación se refiere al índice de encadenamientos hacia adelante, en la que
se intenta identificar un mejor acceso al mercado donde los productos de la
industria tengan una demanda significativa. De acuerdo con esta perspectiva se
desarrolló la siguiente especificación:

Aquí PI constituye la producción industrial
en la región i de la actividad j. Tomando como referencia la distancia
hacia la frontera norte, después de la apertura comercial, se plantea que
conforme la industria se desarrolle y crezca cerca de esta región, se podrá
observar un crecimiento en la demanda de los bienes. A diferencia de la
representación anterior, el lado derecho de esta relación suaviza los efectos
de la distancia al considerar las desigualdades en términos de una distribución
adecuada de los trabajadores en las regiones, ya que estos últimos constituyen
el elemento que determina la magnitud de la demanda. Esto conduce a definir una
relación positiva con la variable dependiente.
Es importante
mencionar que, de manera alterna, los encadenamientos hacia atrás y hacia
adelante se ponderan en relación con el Distrito Federal, con el objetivo de
analizar si esta región continúa siendo potencialmente importante en términos
de mercado. Si este supuesto se corrobora, se esperaría un signo negativo en el
primero y uno positivo en el segundo.
3.2. Especificación
alterna
La siguiente
especificación econométrica mantiene la misma relación propuesta por la
anterior, simplemente se incluyen variables dummies o dicotómicas para representar
aquellas regiones donde se considere que el cambio en las tasas de crecimiento
anual promedio de los trabajadores ha sido más significativo. Se puede
representar esta relación de la siguiente forma:

La variable
dicotómica podría representar la región comprendida por los estados de la
frontera norte, el Estado de México y el Distrito Federal y sus alrededores.
Para el caso en el cual alguna de estas variables sea significativa en la
valoración estimada, el cambio que se representa en la ecuación será en
pendiente, debido a la naturaleza de la relación.
3.3. Estructura de
los datos
Los datos que se
utilizan en la estimación econométrica provienen de los xi y xii
Censos Industriales y de los Censos Económicos de 1994, 1999 y 2004, los cuales
son publicados por el Instituto Nacional de Estadística, Geografía e
Informática (inegi).
Dado que no toda la industria de los censos es comparable a través del tiempo,
sólo se considera una muestra de 136 industrias a seis dígitos (Clase), tomando
en cuenta la Clasificación Mexicana de Actividades y Productos (cmap) de 1980
a 1998, y para el 2003, el Sistema de Clasificación Industrial de América del
Norte (scian).
La selección de la muestra se realizó sobre la base de las tablas comparativas
de la cmap
y el scian
con el criterio de que cada una de las clases fuera consistente con la actividad
y/o producto para todos los años, aun cuando la clave no coincidiera entre cada
censo. El total de estados considerados es 32. Sin embargo, no en todos los
estados se realizan todas las actividades, por lo que se eliminaron aquellos en
los cuales una determinada actividad no se desarrolla. Asimismo, se desecharon
aquellos datos cuya publicación se considera confidencial.
Tradicionalmente,
este tipo de estudios se realiza con base en cuatro dígitos (Rama); sin
embargo, esto implicaba incluir a una industria distinta en cada periodo
(debido a las modificaciones que realiza el inegi) y, por lo tanto, los
resultados obtenidos no podían contrastarse, descartando toda posibilidad de
agrupar la información en forma de Panel. De esta manera, la metodología utilizada
permite comparar, de forma eficiente, cada uno de los cortes transversales,
tomando en cuenta la misma unidad en cada uno de éstos y eliminado cualquier
posibilidad de sesgo. Los periodos de análisis para cada una de las variables
son 1980-1985, 1985-1993, 1993-1998 y 1998-2005.
3.4. Evidencia
econométrica
El análisis
econométrico se realizó con base en las especificaciones planteadas
anteriormente, agrupadas en cuatro periodos. La técnica econométrica utilizada
en la estimación de los parámetros fue el Método Generalizado de Momentos (mgm), debido a
que se asume que las variables explicatorias no son
exógenas y por lo tanto violan el supuesto de covarianza cero entre el error
del modelo y éstas. Además, el modelo utiliza variables Instrumentales (vi) para la estimación, asumiendo que
éstas no se correlacionan con el error de la regresión, lo que permite obtener
estimadores más eficientes y consistentes.
Los resultados del panel de datos de 1980 a
2003 aparecen en los cuadros 8 y 9 del Anexo estadístico, donde sólo se
consideran aquellos coeficientes que son significativos a 5 y 10% de confianza.
En el cuadro 8, los resultados se presentan en forma de Mínimos Cuadros
Ordinarios (mco)
y del mgm;
cada forma considera dos especificaciones: la primera (1) hace referencia a
variables calculadas hacia la frontera norte, y la segunda (2), hacia el
Distrito Federal. En la última columna, se muestran los impactos de cada uno de
los coeficientes estimados sobre el crecimiento del empleo manufacturero,
tomando en cuenta los resultados del mgm (1) y (2), y una desviación estándar de cada
variable (cuadro 7). En ambas especificaciones, se utilizan efectos fijos en el
periodo. En el caso específico del mgm, se estiman los parámetros considerando la
presencia de heteroscedasticidad y autocorrelación contemporánea. Para validar los
instrumentos, se hace uso del estadístico J de Sargan,
el cual indica que las vi no se
correlacionan con los residuales del modelo.
En principio, se
observa que los resultados del cuadro 8, con relación a los mco y el mgm, difieren en casi todos los coeficientemente
estimados excepto en el de encadenamientos hacia atrás medidos con relación al
Distrito Federal, en el cual se obtiene un resultado similar de -0.003 en ambas
especificaciones, aunque dicha diferencia es mínima. El signo que se esperaba
de cada uno de los coeficientes en el mgm difiere en casi todos los
casos, a excepción de los costos de transporte y los encadenamientos hacia
atrás, el primero respecto a la frontera norte y el último en ambos casos. El
único coeficiente que no resulta significativo con el mgm (2) es el costo de transporte
hacia el Distrito Federal. En el caso de los salarios, el resultado es
contrario a lo esperado; por lo tanto, implicaría que no representa una fuerza
que actúa en contra de las aglomeraciones industriales para el caso de México,
como generalmente se asume.
Los resultados
del cuadro 9 expresan únicamente cambios en pendientes, para las variables
salario (logsal)
y la de especialización (logintra),
dejando de lado la variable de economías de escala (logecoesc), debido a que ésta no
resulta significativa en ninguna de las dos especificaciones econométricas. Al
analizar los resultados del cuadro 9, se observa que los coeficientes son
menores, indicando un impacto menor en la región de la frontera norte (0.011) y
los estados alrededor del Distrito Federal y el Estado de México (0.012), que
para el resto de las regiones (0.016), lo que indica que aquellas regiones que
tienden a crecer experimentan salarios un tanto menores que el resto de las
regiones. Con esto no habría razón para validar el supuesto de que el aumento
de los salarios actúa en contra de las aglomeraciones. En general, se podría
establecer que un incremento en una desviación estándar en el salario modifica
en 2.60% el crecimiento de la región cuando se considera el modelo hacia la
frontera norte, y en 1.91% cuando lo estimamos hacia el Distrito Federal.
Respecto a la
variable intraindustrial, la que constituye un
indicador de especialización, es significativa en ambas especificaciones del mgm. Sin
embargo, el resultado es contrario a lo esperado, aunque concuerda con los
resultados obtenidos por Mendoza (2003) y Hanson (1994b). Este resultado se
justifica si se reconoce que el crecimiento económico experimentado por la
región de los efn
y los eacmem
en las últimas dos décadas provocó que la industria manufacturera sufriera un
nivel de desagregación importante, motivado por la excesiva concentración en la
cmem y
la oportunidad que constituye para la industria la apertura económica en 1985 y
1994. Este argumento es consistente cuando se contrasta con el resultado
obtenido de las economías de escala (desde una perspectiva externa) en la
industria manufacturera. Es decir, las regiones en México no poseen una
industria en la cual el grado de aglomeración y de especialización sea lo
suficientemente fuerte como para generar economías de escala y, por lo tanto,
que represente un factor determinante en la formación de nuevas aglomeraciones.
En este sentido, Mendoza (2003) considera que la especialización no ha influido
en el crecimiento manufacturero. Cuando se estima un cambio en pendiente de
variables intraindustriales hacia la frontera norte,
la pérdida en el nivel de especialización industrial respecto a los efn y los eacmem es
mucho menor (de -0.012 y -0.011, respectivamente) que el resto de las regiones
(-0.021), aunque cuando la estimación se realiza al Distrito Federal, el
resultado muestra que la especialización continúa siendo mayor en la cmem y los eacmem.
Por otro lado,
el costo de transporte medido hacia la frontera norte (ctfn) resultó significativo a 5%,
con lo cual se puede considerar que la frontera norte constituye un mercado
importante para un conjunto significativo de la industria, lo que se refleja en
ventajas de localización para las plantas ubicadas en esa región de México. La
disminución del ctfn
en una desviación estándar implicará un crecimiento de 1.89% en la región. El
coeficiente obtenido de los encadenamientos hacia atrás respecto a la frontera
norte (hafn)
resulta consistente con lo planteado previamente, aunque sucede lo mismo con
los encadenamientos hacia atrás respecto al Distrito Federal. Esto se debe a
que el mercado del centro y en especial el de la cmem, continuó siendo importante para un segmento de la
industria después de la apertura, dada la demanda que concentra, de ahí la
explicación del crecimiento de los eacmem.
Lo mismo se
visualiza al analizar el resultado de los encadenamientos hacia adelante
respecto a la frontera norte (hdfn), donde su signo es contrario al esperado,
debido a que el crecimiento de la industria no ha sido lo suficientemente
fuerte en esta región como para considerarla como el principal mercado. Por lo
tanto, los resultados apoyan a la evidencia empírica que indica que la frontera
norte se consolidó como un polo de crecimiento, con excepción de la industria
vinculada con el sector externo.[3]
Finalmente, se
observa que los encadenamientos hacia la Ciudad de México (hdmx) resultan con un signo
contrario, dada la dispersión industrial, pero su impacto en el crecimiento es
menor que el de los hdfn,
ya que una desviación estándar disminuye el crecimiento regional en 2.30% y los
hdfn lo
disminuyen en 2.60%.
Conclusión
Los cambios
experimentados en la aglomeración industrial derivados del nuevo patrón de
crecimiento en el empleo manufacturero de 1980 a 2003 se fundamentan
principalmente en dos aspectos. Primeramente, la caída en la participación de
la industria manufacturera en la parte central del país, especialmente en el
Distrito Federal y el Estado de México, que en un conjunto perdieron en dos
décadas alrededor de 50% de su actividad industrial, lo que redujo la excesiva
concentración industrial de esas regiones. Esto, sin embargo, tuvo
consecuencias negativas sobre el nivel de especialización y la generación de
economías de escala, y en general en el impacto de las economías externas. Lo
anterior debido a que la formación de nuevas aglomeraciones industriales no ha
sido lo suficientemente fuerte, al menos como lo era antes de la apertura
comercial, cuando la parte central de país poseía 74% de la actividad
industrial, correspondiendo a la cmem casi 45% del total nacional.
En segundo
lugar, la apertura comercial constituyó un elemento clave en la decisión de la
localización, sobre todo para aquella industria que está fuertemente vinculada
con el sector externo, como resulta ser el caso del sector manufacturero, cuya
participación representa cerca de 90% del comercio total que se realiza en el
país, siendo Estados Unidos el principal mercado. Sin embargo, la razón por la
cual la industria no se localiza totalmente en los efn se debe a que la región
central mantiene un liderazgo en términos de mercado interno; así lo demuestran
las tasas de crecimiento de los eacmem. Es decir, los costos negativos generados a
partir de la excesiva concentración y congestión urbana (fuerza centrípeta)
previos a la apertura, provocaron que la industria buscara situarse en una
región alterna a la cmem,
siendo los eacmem
la mejor alternativa. Esto valida los resultados del modelo medido hacia el
Distrito Federal.
Con relación a
las economías de escala, no hay evidencia que muestre que en el sector
manufacturero haya sido un factor que incentivara la dispersión o aglomeración
de centros industriales. Algunos autores consideran que el signo negativo
obtenido en la estimación se orienta a explicar los costos de la congestión
urbana. Sin embargo, la falta de economías de escala puede deberse a que el
sector manufacturero estuvo muy concentrado previamente. Este mismo resultado
está vinculado con los efectos intraindustriales, por
lo que resulta obvio que su comportamiento sea muy similar.
En este sentido,
queda claro que el cambio en la tendencia del crecimiento del empleo
manufacturero en el periodo 1980-2003 muestra un proceso de dispersión de la
industria manufacturera que favorece a la frontera norte y a los estados
alrededor del Distrito Federal. Sin embargo, las consecuencias de ese proceso
se reflejan en una dimensión menor de las aglomeraciones actuales, aunado a una
menor especialización de las regiones, la ausencia de economías de escala y un
debilitamiento en los encadenamientos del sector manufacturero.
Por tanto, se
puede señalar que aunque la apertura comercial impactó la localización
geográfica del sector manufacturero, el cual tendió a aglomerarse hacia la
región fronteriza, generando un proceso dispersivo en la industria de la región
central, no existe evidencia de que este proceso haya dado origen a economías
de escala o externas necesarias para estimular el crecimiento manufacturero
regional.
Por su parte,
los costos de transporte cobran una nueva relevancia en la nueva geografía
económica de la localización manufacturera, tanto por el contexto de la mayor
dinámica comercial con Estados Unidos como por la importancia del peso del
mercado interno. Por ello, los costos de transporte parecen ser determinantes
en la localización manufacturera, de acuerdo con el destino de los bienes e
insumos producidos. Es decir, por una parte las industrias ligadas a las
exportaciones hacia Estados Unidos, se han concentrado a lo largo de la
frontera norte, mientras que las industrias orientadas al mercado interno lo
han hecho en la región de los eacmem, debido también al efecto de las fuerzas
centrípetas de las economías de aglomeración negativas en el Distrito Federal.
Por tanto, el comercio internacional, los encadenamientos hacia atrás y hacia
adelante y las economías de escala han influido en un cambio geográfico de las
actividades manufactureras, generando nuevos patrones de aglomeración en la
región fronteriza del norte del país.
De esta manera,
como resultado del análisis de las estimaciones del modelo, se desprende que el
crecimiento reciente de la industria manufacturera se ha basado en los mercados
doméstico y de los Estados Unidos. Dicho patrón de crecimiento ha permitido la
dinamización manufacturera en la frontera norte. Sin embargo, la falta de un
efecto de economías externas y de encadenamientos industriales importantes presenta
límites para el desarrollo futuro de este sector. Por ello, la política de
crecimiento industrial tiene que considerar temas relacionados con la
generación de condiciones de competitividad para el sector manufacturero, como
es el caso de las políticas de apoyo a la infraestructura, la regulación, y
políticas financieras y relacionadas directamente con los sectores industriales
orientados al mercado interno. Asímismo, requiere
generar factores de competitividad para la industria ligada a los mercados externos,
para permitir el desarrollo de externalidades, basándose en el apoyo a la mayor
educación de la oferta de trabajo y el fomento a la investigación en el sector
productivo.
Bibliografía
Davis, Donald, R. y David E. Weinstein (2001), Market Size, Linkage, And Productivity: A Study of
Japanese Regions, National Bureau of Economic Research, Working Paper núm. 8518.
Díaz-Bautista,
Alejandro (2003), “Apertura comercial y convergencia regional en México”, Comercio
Exterior, 53 (11),
pp. 995-1000.
Ethier, Wilfred John (1982), “National
and International Returns to Scale in the Modern Theory of International
Trade”, American
Economic Review, 72: 389-405.
Fingleton, Bernard
(2003), “Externalities, Economic Geography and Spatial Econometrics: Conceptual
and Modeling Developments”, International
Regional Science Review, 26 (2):197-207.
Fujita, Masahisa; Paul R. Krugman y John A. Venables
(1999), The
Spatial Economy, The mit Press, Cambridge.
Fujita Masahisa y François Thisse (2002), Economics of Agglomeration, Cities, Industrial Location, and Regional
Growth, Cambridge University Press, Cambridge.
Hanson, Gordon (1994a), Localization Economies Vertical Organization, and
Trade, National Bureau of Economic Research, Working Paper núm. 4744.
Hanson, Gordon (1994b), Regional Adjustment to Trade Liberalization,
National Bureau of Economic Research, Working Paper núm.
4713.
Hanson, Gordon (1998), North American Economic Integration and Industry
Location, National Bureau of Economic Research, Working Paper núm. 6587.
Henderson, Vernon (1974), “The Sizes and Types of
Cities”,
American Economic Review, lxiv,
(4): 640-656.
Henderson, Vernon (2005), “Urbanization and growth”,
en Handbook
of Economic growth 1, editado por Philippe Aghion y Steven Durlauf, Elsevier.
Henderson, Vernon; A. Kuncoro
y Matt Turner (1995), “Industrial development in the Cities”, Journal of Political Economy,
vol. 103 (5): 1065-1090.
Helsey y Strange (1990) “Matching and
Agglomeration Economies in a System of Cities”, Regional Science and Urban Economics,
20: 189-212.
Hirschman, Albert O. (1958), The Strategy of Economic Development,
Yale University Press, New Haven.
Hoover, Edgar M. (1971), An Introduction to Regional Economics”,
Knopf, Nueva York.
inegi
(Instituto Nacional de Estadística, Geografía e Informática), Censos Económicos
1980, 1985, 1988, 1993, 1998, inegi, Aguascalientes.
Krugman, Paul (1980),
“Scale Economies, Product Differentiation and the Pattern of Trade”, American Economic Review, 70: 469-479.
Krugman, Paul
(1991a), “Increasing Returns and Economic Geography”, Journal of Political Economy,
99 (3): 483-449.
Krugman, Paul
(1991b), Geography
and Trade, mit
Press, Cambridge.
Krugman, Paul y E. R.
Livas (1992), Trade Policy and the Third World Metropolis,
National Bureau of Economic Research, Working Paper núm.
4238.
Marshall, Alfred (1920), Principles of Economics, 8a
ed. Macmillan, Londres.
Mendoza-Cota,
Jorge Eduardo y Gerardo Martínez (1999). “Un modelo de externalidades para el
crecimiento económico regional”, Estudios Económicos, vol. 14, núm. 2, El Colegio de
México, pp. 231-263.
Mendoza-Cota,
Jorge Eduardo (2003), “Especialización manufacturera y aglomeración urbana en
la grandes ciudades de México.”, Economía, Sociedad y Territorio, iv (13): 95-126.
Mendoza-Cota,
Jorge Eduardo (2005), “El tlcan
y la integración económica de la frontera México-Estados Unidos: situación
presente y estrategias a futuro», Foro Internacional, El Colegio de México, julio septiembre, xlv (181), pp. 517-544.
Mendoza-Cota,
Jorge Eduardo y Mary Villeda-Santana (2006), “Liberalización
económica y crecimiento regional en México”, Comercio
Exterior, vol. 56,
núm. 7, pp. 581-591.
Parr, J. B. (2002), “Missing Elements in the Analysis
of Agglomeration Economies”, International Regional Science Review, 25,
(2):151-168.
Tomiura, Eichi (2003), Changing economic geography and vertical linkages in Japan, National Bureau of Economic Research, Working Paper núm. 9899.
Recibido: 13 de febrero de 2006.
Aceptado: 13 de junio de 2006.
Jorge Eduardo Mendoza-Cota es doctor en Economía con
especialidades en Organización Industrial y Economía Internacional por la
Universidad de Utah. Actualmente es Director del Departamento de Estudios
Económicos, El Colegio de la Frontera Norte; es miembro del Sistema Nacional de
Investigadores Nivel 2 (sni),
catedrático del Programa de Doctorado en Ciencias Sociales: Economía Regional,
San Diego State University
y profesor de tiempo parcial del departamento de economía, Materias: Macroeconomics, Economic Problems of Latin America. Entre sus publicaciones destacan: “Economías
externas y dinámica manufacturera regional en México”, en Crecimiento
con convergencia o divergencia en las regiones de México (Asimetría
centro-periferia), El
Colegio de la Frontera Norte; “Infraestructura pública y convergencia regional
en México”, en Comercio Exterior, volumen 53, número 2; “Innovación
tecnológica y crecimiento regional en México”, 1995-2000, en Revista
Mexicana de Economía y Finanzas,
Tecnológico de Monterrey, campus Ciudad de México, vol. 1, núm. 3,
2002; Obstáculos al comercio en el tlcan: el caso del transporte de carga, en Comercio
Exterior, volumen 53,
número 12, diciembre de 2003.
Jorge
Alberto Pérez-Cruz estudia
la maestría en Economía Aplicada en el Colegio de la Frontera Norte con beca de
Conacyt y promep en Tijuana, Baja
California; realizó sus estudios de Licenciatura en Economía por la Universidad
Autónoma de Tamaulipas, en Tampico. Actualmente es profesor por asignatura en
el Centro Universitario de Tijuana (cut) y profesor de tiempo completo en la Unidad
Académica de Ciencias Jurídicas y Sociales de la Universidad Autónoma de
Tamaulipas. Entre sus publicaciones destacan: Antología
Análisis y métodos econométricos, Universidad Autónoma de Tamaulipas; Manual
de Eviews con aplicaciones (material docente); “Geografía económica y
los determinantes de la localización industrial”, en proceso de arbitraje en la
Revista sociotam;
“Migración Interna: Inmigración Reciente Interestatal hacia Tamaulipas”,
México, 2000, (en proceso de arbitraje en la revista Elementos).
[1] La información se presenta en dos
gráficas, debido a que a partir de 1991 la industria maquiladora se incluye
tanto en las importaciones como en las exportaciones; previamente se
consideraba por separado.
[2] La fórmula general de la función de
beneficios se representa de la siguiente manera:
Diferenciando con
relación a w,
se obtiene el siguiente resultado:
La condición de
primer orden para la maximización del beneficio, para el caso de un único
producto y un factor, se expresa de la siguiente forma:
Por lo que se
tiene que
Esto significa que
un aumento en el precio del factor disminuye el beneficio.
[3] Un aspecto importante a destacar es que la dinámica de la producción manufacturera de exportación en México puede ser analizada desde el punto de vista regional. La localización de la producción manufacturera orientada a la exportación tendió a crecer de manera significativa en los estados de la frontera norte de México, modificando así la estructura regional de la industria manufacturera del país. Lo anterior trajo como consecuencia que esta región, que comprende los estados de la frontera norte de México, incrementara su participación en el total del pib manufacturero, alcanzando 28.7% en el 2003. Mientras que el Distrito Federal y el Estado de México, regiones dónde se desarrolló la industria orientada al mercado interno en la etapa de sustitución de importaciones, vieron reducir su participación de 20.8 y 17.4% en 1993, a 17.4 y 15.8% en 2003, respectivamente (Mendoza, 2005).