Análisis sectorial y regional del ciclo de vida de las
firmas colombianas en el periodo 1995-2000: un modelo datos de panel
Marleny Cardona Acevedo
Carlos Andrés
Cano Gamboa*
Abstract
The
specificity of industrial development in a region is not only a matter of
evolution and adaptive abilities, but also of taking advantage of the local
conditions as well as the creation of the territorial model relationships at a
local level. The purpose of this paper is to recognise
the structural elements that determine the life cycle of Colombian companies.
The measurement is carried out through a panel data model that allows us to
build relationships between industrial organisation,
geographical and social variables in the interpretation of life cycle in 19
productive sectors and three regions in Colombia.
Keywords: life cycle, territoriality, productive enterprises, industrial localisation.
Resumen
La
especificidad del desarrollo industrial en las regiones no es un asunto sólo de
evolución y de capacidades de adaptación, sino que busca el aprovechamiento de
las condiciones locales y la generación de relaciones de un modelo territorial
en un ambiente local. El propósito de este artículo es reconocer los
determinantes estructurales del ciclo de vida de las firmas colombianas. La
medición se hace a través de un modelo datos de panel, que permite la
construcción de relaciones entre las variables de organización industrial,
geográficas y sociales en la interpretación del ciclo de vida en 19 sectores
productivos y tres regiones colombianas.
Palabras clave:
ciclo de vida, territorialidad, firmas productivas, localización industrial.
*
Estudios Sectoriales y Territoriales, Universidad Eafit
de Medellín. Correos-e: marca@eafit.edu.co y ccanogam@eafit.edu.co.
Introducción[1]
El territorio,
escenario de localización de firmas, responde a la flexibilidad de los procesos
sociales y económicos que potencian u obstaculizan la continuidad de los
encadenamientos productivos, que trascienden los límites fijados
administrativamente y las mismas relaciones sociales.[2] El
territorio es una construcción social que da pie a las dinámicas económicas y
sociales tanto internas como externas, a las relaciones y estructuras de poder,
a las manifestaciones culturales de la población y a las restricciones y
potencialidades en la oferta ambiental que le imprimen rasgos característicos.
La dinámica
industrial, como expresión del crecimiento, se refleja en el proceso de
acumulación en dos niveles: 1)
acumulación de
capital físico y 2) acumulación de capital humano; ambas
son condiciones del desarrollo. Los territorios, y en ellos las empresas,
actúan en forma individual y colectiva participando en sistemas regionales que
enfrentan fuertes competencias y generan la recomposición y el diseño de instrumentos
de política para responder a los modelos productivos, donde la organización
industrial y la dinámica regional, en forma conjunta, son expresión de las
interrelaciones sociales en la localidad.
En este
contexto, las firmas productivas aparecen como el mecanismo por el cual se
estructuran las relaciones inter e intrasectoriales;[3] en
ellas, las decisiones pasan primero por el territorio, el cual posibilita y
define las relaciones productivas. De manera similar, el espacio geográfico
sufre procesos de cambio por la concentración industrial, la lógica de
acumulación y la competencia local, nacional y global en una relación
firma-territorio, donde sus dinámicas reestructuran y transforman la
espacialidad industrial.
El objeto de
estudio –las firmas en el territorio–, sin embargo, no es nuevo. La literatura
revisada como antecedente muestra una aproximación a la dinámica industrial
desde los enfoques tradicionales del desarrollo regional. Entre los estudios
que invitan al replanteamiento de los análisis regionales y las políticas de
localización industrial, ciclo de vida y emprendimiento están, en la esfera
internacional, los liderados por Acs y Audretsch (1989, 1994, 1998), Feldman
y Audretsch (1998), Roper y
Love (1999) y Audretsch y Fritsch (1999); y en el ámbito de América Latina y
Colombia, los de Durán et al. (1998), Burachik
(2000), Cardona y Ángel (1999), Cardona et al. (2001), Cardona, Osorio y Cano
(2003), Cepal (2000) y Lora (2001).
Las economías
regionales resurgen motivando el desarrollo de identidades e interdependencias
sociales, económicas y culturales entre los territorios, con estrategias
generadas para la inserción en los mercados de los productos regionales a
partir de las cuales emergen formas de organización del trabajo y ocurren
cambios en la forma de producir que son importantes para las políticas
empresariales y gubernamentales en los territorios.[4]
En la dinámica
regional se han establecido lógicas que van de lo social a lo económico y
viceversa, cuyos resultados se expresan en cuatro comportamientos básicos: 1) firmas y regiones que ganan, 2) firmas que ganan y regiones que
pierden, 3)
firmas que pierden y regiones que ganan y 4) firmas y regiones que pierden.
En el estudio de
estas dimensiones se construye un objeto de estudio complejo, dinámico y con
múltiples aristas, que se reúnen en dos unidades de análisis: 1) el espacio sectorial (la firma) y 2) el espacio geográfico (la región),
con un punto de encuentro que denominamos ciclo de
vida y localización
espacial de la industria.
En el espacio
sectorial, el
concepto de empresa (firma) encierra una multiplicidad de nociones que pueden
ser entendidas a su vez con complementariedad.[5] En
el espacio geográfico, la relación ciudad-región ha ido reforzándose en cada
una de las etapas de la evolución económica y social, al grado de ser difícil
referirse hoy a la economía local sin una visión de economía de área
metropolitana.[6]
Este artículo
analiza la dinámica industrial y sectorial con la discusión teórica sobre el
ciclo de vida y la localización industrial de las firmas colombianas durante el
periodo 1995-2000, por medio de variables de organización industrial,
geográficas y sociales, y la formulación de un modelo datos de panel regional y
otro sectorial.[7]
El estudio del
ciclo de vida industrial[8]
representa la dinámica del surgimiento y desaparición de firmas en el tiempo.
El proceso consiste en una intensa entrada de nuevas empresas que buscan
formarse un espacio en una industria introduciendo innovaciones en productos y
procesos que les permiten generar las barreras de entrada al sector.[9]
El análisis de
las unidades productivas debe hacerse considerando no sólo un cierto tamaño o
un sector en particular, sino también el marco de la organización industrial y
su entorno espacial. Las estrategias empresariales son determinantes en el
ciclo de vida de las firmas; su objetivo común es la generación de ventajas
competitivas que aseguren a las firmas beneficios a largo plazo. A continuación
se estudian el contexto económico y los determinantes estructurales del ciclo
de vida de las firmas en 19 sectores productivos y tres regiones colombianas:[10]
Bogotá-Soacha, Cali-Yumbo y Medellín-Valle de Aburrá.[11]
1. Contexto económico
de las unidades productivas en Colombia
El proceso de
industrialización colombiano y los patrones de acumulación sobre los cuales se
ha desarrollado transcurren de un modo más o menos similar al del resto de los
países de América Latina. Pueden distinguirse, en este proceso, dos etapas: 1) una etapa sustitutiva de
importaciones, que si bien se inició desde la década de 1930, adquirió su
configuración precisa en la década de 1950 y mantuvo su carácter estrictamente
sustitutivo hasta 1967; 2) la otra etapa, que puede distinguirse
a partir de la década de 1970, sin abandonar su carácter sustitutivo, apoyó la
expansión productiva basada en la exportación de manufacturas, lo que modificó,
en parte, las condiciones de acumulación desarrolladas desde los años de la
década de 1950.[12]
Entre 1974 y
1991, la industria colombiana registró un agotamiento del proceso de
sustitución de importaciones. El comportamiento industrial en esos años estuvo
marcado por la sucesión de fases cortas de expansión (1975-1980), crisis
(1981-1983) y leve recuperación (1984-1989). Según Lotero (1998), en ese periodo, caracterizado por algunos analistas
como de crisis estructural de la industria, se presentaron acontecimientos y
cambios en el manejo económico que, sin duda, afectaron el desempeño sectorial.
Entre otros, las bonanzas de precios del café (1976-1978 y 1985-1987), las
políticas de ajuste fiscal (1974-1978 y 1984-1986), la liberación parcial del
régimen de comercio exterior (1978-1982) y su reversión posterior (1982-1984) y
la fuerte caída de la tasa de cambio real (1978-1982).[13]
Sin duda, la
estructura de la economía colombiana cambió entre los decenios de 1980 y 1990.[14]
Al finalizar la década de 1980 apareció el modelo de liberalización económica,
que aplicó aperturas de choque en el supuesto de que el mercado internacional
haría una distribución justa de los recursos y de que los países en desarrollo
crecerían rápidamente gracias a las nuevas condiciones resultantes. De otra
parte, también hubo cambios en la composición de las exportaciones totales
entre un periodo y otro.[15]
La apertura
económica, la reforma al sector financiero, las modificaciones del régimen
cambiario, la promulgación de una nueva Constitución política en 1991 –con los
consiguientes cambios institucionales, que entre otros factores determinaron en
gran parte la evolución del gasto público– modificaron el panorama económico
que había en el decenio de 1980. Por lo tanto, en el análisis de los ciclos
económicos es indispensable tener en cuenta los cambios estructurales causados
por los factores mencionados.
La economía
colombiana enfrentó un proceso de desaceleración del crecimiento desde 1996 y
de recesión a partir del último trimestre de 1998. Después de haber registrado
tasas anuales de crecimiento superiores a 5% real anual promedio entre 1993 y
1995, el crecimiento calculado de 1998 fue de 0.6% (dane), el crecimiento para el primer trimestre de 1999 fue
de –5.9%, y lo fue de un nivel similar para el primer semestre del año 2000.
Por su parte, la tasa de desempleo alcanzó niveles cercanos a 20%. En este
contexto global, se aprecia un deterioro significativo, en los últimos años, en
las cifras del sector productivo privado colombiano.
Desde el
análisis de la organización industrial, tanto en el periodo preapertura como en el de postapertura, las
micro, pequeñas y medianas empresas (mipymes)[16]
en Colombia generaron cerca de 40% de la producción bruta y 34% del valor
agregado nacional (Echeverri, 1999).[17]
Sin embargo, se observaron diferencias importantes a lo largo del periodo 1985-1995 en cuanto al comportamiento
por tamaño de empresa: 1) la mediana empresa se destacó por
haber presentado mayor estabilidad en su crecimiento (ciclos de auge y recesión
menos pronunciados), y 2) la pequeña empresa ha seguido una
dinámica independiente que en varios años se aleja del patrón de crecimiento de
la industria global en Colombia (véase gráfica i).
Gráfica i
Patrón de
crecimiento de la industria global 1980-2000

Fuente: Departamento Administrativo Nacional
de Estadística (2003).
En el cuadro 1
se observa que la participación por tamaño de empresas en los últimos 20 años
no se ha modificado mucho en Colombia. La microempresa y la pequeña empresa se
han mantenido en niveles promedio de 70%, son así las de mayor ponderación. La
mediana empresa colabora con 22% en promedio, mientras que la gran empresa
representa para el sistema económico colombiano 7%, en promedio.
Cuadro 1
Participación en el número de establecimientos según
tamaño de empresa 1985-1995
|
Año |
Pequeña |
Mediana |
Grande |
Total |
|
1985 |
70.9% |
22% |
7.1% |
100% |
|
1986 |
71.3% |
21.7% |
6.9% |
100% |
|
1987 |
71.2% |
21.7% |
7.1% |
100% |
|
1988 |
72.1% |
21.2% |
6.6% |
100% |
|
1989 |
72.8% |
20.7% |
6.4% |
100% |
|
1990 |
72.0% |
21.3% |
6.7% |
100% |
|
Promedio 1985-1990 |
71.7% |
21.5% |
6.8% |
100% |
|
1991 |
70.7% |
22.2% |
7.1% |
100% |
|
1992 |
70.7% |
22.1% |
7.2% |
100% |
|
1993 |
68.6% |
23.6% |
7.7% |
100% |
|
1994 |
68.1% |
23.9% |
8.0% |
100% |
|
1995 |
69.7% |
22.8% |
7.5% |
100% |
|
Promedio 1991-1995 |
69.6% |
22.9% |
7.5% |
100% |
|
1996 |
69.6% |
23.2% |
7.2% |
100% |
|
1997 |
72.4% |
21.1% |
6.5% |
100% |
|
1998 |
72.6% |
21.0% |
6.4% |
100% |
|
1999 |
74.4% |
19.6% |
6.0% |
100% |
|
2000 |
74.6% |
19.5% |
6.0% |
100% |
|
Promedio 1996-2000 |
72.7% |
20.9% |
6.4% |
100% |
Pequeña empresa (incluye la microempresa): entre 10 y 49
trabajadores; mediana empresa, entre 50 y 199 trabajadores; y gran empresa, más
de 200 empleados.
Fuente:
Echeverri (1999).
Partiendo de
este panorama, la investigación realizó un análisis de acuerdo con el modelo
datos de panel para determinar las variables de organización industrial,
geográficas y sociales que han incidido en el ciclo de vida de las firmas
colombianas en el periodo 1995-2000.
2. Consideraciones
metodológicas del modelo datos de panel
El sistema
económico depende de la interacción entre las variables económicas en la
sociedad y el espacio. Por eso la propuesta metodológica considera correr el
modelo datos de panel en dos etapas. La primera relaciona la influencia de las
variables geográficas específicas en el ciclo de vida de las firmas; y la
segunda establece el impacto de las características industriales sobre los
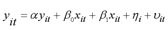
factores geográficos. Dichos modelos están asociados a las siguientes
ecuaciones:
(1)
(2)
El objeto de
este estudio son las variables que influyeron en la dinámica del ciclo de vida
de las firmas de Colombia en el periodo 1995-2000. Las variables seleccionadas
como explicativas de este fenómeno se dividen entre las asociadas al sector,
que se expresan como variables de organización industrial, y las asociadas al
territorio,[18] llamadas variables
geográficas específicas; además de variables sociales.
El ciclo de vida
de las firmas es la variable dependiente sobre la cual se analizan las
relaciones respecto a las variables explicativas. En las variables de
organización industrial se tienen en cuenta: 1) intensidad del capital,[19] 2) relación capital producto,[20] 3) costo laboral unitario[21] y
4)
salario promedio industrial.[22]
En las variables geográficas están: 5) tasa de desempleo, 6) tamaño de la población, 7) índice de tasa de cambio real y 8) índice de localización industrial.[23]
Las variables sociales son: 9) logro educativo y 10) tasa de homicidios.
Estructura y
localización de las firmas son parte del mismo asunto y pertenecen a un proceso
de evolución donde se condicionan variables que interactúan entre sí y permiten
la consolidación o el declive de los aparatos productivos. Estas variables
pueden ser tanto externas como inherentes al proceso sectorial. La
transformación estructural de las relaciones de producción y de poder en los
sistemas económicos forma parte de la dinámica de una nueva sociedad, donde la
necesidad de ser entes flexibles y competitivos es un proceso esencial de la
economía.
El desarrollo en
la década de 1970 sobre la especificación de modelos econométricos regionales
propició un número importante de aplicaciones a regiones de Estados Unidos y
países europeos. Algunos modelos son unirregionales y
analizan las relaciones entre diversas variables en una región a lo largo del
tiempo. Los modelos multirregionales analizan las
diferencias entre los distintos niveles de desarrollo de varias regiones, bien
elaborando un modelo con una serie temporal de cada región y comparando los
resultados, bien mediante modelos interregionales que se obtienen con una
muestra conjunta de varias regiones en un momento determinado, modelo cross-section, o en varios momentos mediante un pooling o muestra combinada.
El estudio Surgimiento
de firmas regionales colombianas
(1995-2000) (Cardona, et al., 2001) encuentra en tres regiones
colombianas y tres sectores económicos (alimentos, textil y confecciones)
crecimiento exponencial en el surgimiento de firmas entre 1995 y 2000. Se
concluye que la instalación de firmas en las regiones y los sectores es
diferente y por tanto requiere distintas formas de intervención en Colombia.
Mientras en los modelos sectoriales las variables más significativas se asocian
a los factores geográficos y regionales, en los modelos regionales prevalece la
dinámica en la organización industrial dentro de las localidades.
El análisis del
ciclo de vida de las firmas colombianas muestra los cambios en el tiempo de las
variables estructurales de la industria en las regiones. Se establece que: 1) el modelo datos de panel sectorial da
cuenta del efecto regional sobre el ciclo de vida en un mismo sector
industrial, y 2) el modelo datos de panel regional
analiza la estructura industrial de cada región en términos de la información
sobre los sectores analizados. En total, el modelo está conformado por tres
regiones, 19 sectores, 10 variables explicativas y una dependiente: surgimiento
neto de las firmas,[24]
como se aprecia en el esquema i.
Esquema i
Proceso metodológico en la medición del ciclo de
vida de las firmas colombianas en el periodo 1995-2000

El modelo de
ciclo de vida de las firmas colombianas surgió del trabajo Labor
Market Approach utilizado por Audretsch
y Fritsch (1999). Además se consideró la metodología
empleada por Armington y Acs
(2000), quienes examinan el papel del capital humano, la capacitación, el nivel
de educación y el nivel empresarial en el surgimiento de firmas. El resultado
empírico da cuenta de diferencias en la tasa de formación de nuevas empresas en
las regiones, explicadas principalmente por la densidad industrial, el
crecimiento poblacional y el ingreso per cápita. Estos resultados son
consistentes con las competencias laborales y la intensidad del capital con el
efecto spillovers que se tiene en el sistema económico.[25]
También se atendieron los trabajos de Keeble y Walker
(1994) y Davidson et al. (1994) en la metodología de la
construcción de las variables utilizadas en el modelo.
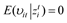
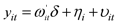
En la
formulación, el modelo datos de panel considera que los errores variantes a
través del tiempo no están correlacionados con valores presentes y pasados de
ciertas variables condicionantes, de modo que son predeterminados respecto a
los errores variantes en el tiempo. Este tipo de modelo satisface la condición
de momentos secuencial, como se expone a continuación:
(1)
El modelo es el
siguiente:
(2)
Junto con el
supuesto:
(3)
Donde
y ![]()
es una versión
secuencial del modelo de ajuste parcial propuesto por Arellano y Bond (1991).
Un ejemplo del modelo anterior es:
(4)
Donde:
(t =1,..., T; i=1,..., N)
Una versión
general del modelo (ecuación 2) es la siguiente:
(5)
Con el supuesto:
(6)
La ecuación 7 es
una versión general del modelo de la ecuación 4 (Arellano y Bond, 1991), con zti= (zi1,...,zit) . La estimación del método
generalizado de momentos (gmm) de d en 7 (Mátyás,
1999) se basa en la siguiente condición de momentos:
(7)
O utilizando
desviaciones ortogonales, según lo planteado por Arellano y Bover
(1995):
(8)
Una expresión
compacta que integra las ecuaciones 7 y 8 es la siguiente:
(9)
Donde K
representa cualquier
matriz de transformación triangular superior de (T –1)*T con rango (T –1) tal que Kg=0, donde g es un vector de unos de T*1. La ortogonalidad
entre K
y g
asegura que la transformación elimina el efecto fijo. zi es una matriz de bloques diagonales cuyo i-ésimo
bloque está dado por zti’; así:
(10)
Donde:
y
.
El estimador gmm de d se obtiene minimizando
(11)
y queda como
resultado:
(12)
Tal como lo
demuestra Hansen (1982), la elección de AN debe ser tal que sea proporcional a
la inversa de la matriz de covarianzas de la condición de ortogonalidad.
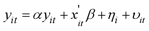
Dados los elementos teóricos discutidos anteriormente, la ecuación básica para
el modelo datos de panel es la siguiente:
(13)
Donde:
i
= 1,...,N t = 2,...,T
∆Yit = Tasa de surgimiento neto de la
industria i
en el periodo t.
xit= Representa un vector de variables
explicativas clasificadas en: 1) organización industrial, 2) variables geográficas y 3)
variables sociales.
gt = Representa el efecto temporal que
captura cambios en la productividad comunes a todos los sectores industriales.
La construcción
del modelo y la base de datos fue un proceso que concentró la atención en el
análisis del comportamiento de los resultados en las mediciones, teniendo en
cuenta los delineamientos teóricos y la selección de las variables de acuerdo
con criterios econométricos sobre los cuales se basaría la elección de las
mejores estimaciones.
A continuación
se muestran los resultados de los modelos, los cuales fueron validados[26]
mediante las pruebas de Hausman[27] y
Breusch y Pagan.[28]
3. Comportamiento de
las variables de organización industrial, geográficas y sociales en los
sectores industriales colombianos en el
periodo 1995-2000
La comprensión de
la dinámica industrial pasa primero por el análisis del comportamiento de las
variables elegidas para una propuesta de modelo estructural de la realidad
industrial, y, segundo, por la aplicación del modelo y el reconocimiento de la
realidad en él. Así, los resultados de la medición dan cuenta del surgimiento
neto de las firmas, lo que se determinó como el número de firmas que surgen
menos el número de las que se liquidan. De esta forma, una disminución del
surgimiento o un incremento del total de firmas liquidadas generan un ciclo de
vida menor; del mismo modo, un incremento del número de firmas que surgen o la
disminución del número de firmas que se liquidan generan un mayor ciclo de
vida.
3.1. Análisis
sectorial de la industria colombiana en las dimensiones de organización
industrial, geográfica, territorial y social
El análisis de
las unidades productivas debe hacerse considerando no sólo un cierto tamaño o
un sector en particular, sino también el marco de organización y su entorno.
Las estrategias empresariales y la organización espacial son determinantes en
el ciclo de vida de las firmas; su objetivo común es el establecimiento de
ventajas competitivas que aseguren a las firmas beneficios a largo plazo.[29]
En la economía,
como en las demás ciencias sociales, comúnmente se ha caído en el error de
considerar que su campo de acción tiene que ver con la asignación y el
acrecentamiento de los recursos materiales y tangibles, y, de esta manera, la
confinan al estrecho campo del crecimiento, subvaluando la dimensión humana,
que es la verdadera razón de ser del desarrollo. Si bien la identidad entre
crecimiento y desarrollo está hoy en día en entredicho, no sólo desde la
reflexión teórica sino también, y principalmente, desde la evidencia empírica,
es necesario insistir en el carácter complejo del desarrollo y en la necesidad
de una visión interdisciplinaria que permita esclarecer los componentes e
identificar las variables significativas que deben considerarse.
En esta perspectiva
pretenden otorgarse a la política económica objetivos sociales y tener siempre
presentes sus implicaciones, así como hacer explícita la contribución económica
de la política social. A continuación presentamos los resultados obtenidos con
dos variables sociales que tuvimos en cuenta en la modelación: tasa de
homicidios (hmd) y logro educativo
(le) (véase cuadro 2).
Cuadro 2
Resultado de un modelo regional por sectores, de
variables de organización industrial, geográficas y sociales para el análisis
del ciclo de vida de las firmas colombianas 1995-2000

El
modelo incluyó estimaciones en desviaciones ortogonales.
Los
errores estándar son robustos para heteroscedasticidad.
Los
instrumentos utilizados en el modelo están en niveles.
El
método de estimación es paneles incompletos o desbalanceados por efectos fijos.
El
contraste del multiplicador de Lagrange para el
modelo de efectos aleatorios de Breusch y Pagan
muestra evidencias en favor del modelo de componentes del error.
El
contraste de Hausman valida el método utilizado.
En el caso del
sector alimentos y bebidas se obtuvo que la variable logro educativo tenía
influencia positiva en el ciclo, mientras que tasa de homicidios explica la
reducción del surgimiento neto, lo que llevaría a establecer que altos niveles
de homicidios repercuten negativamente en la madurez productiva de las firmas
de este sector.
En el caso del
sector textiles y calzado, el comportamiento de índice de tasa de cambio real (itcr) permite consolidar el ciclo de
vida, lo correcto con ampliación de mercados y diversificación exportadora
lograda por las firmas textileras colombianas. El
logro educativo (le) también
presenta el signo esperado. Al igual que en el sector alimentos y bebidas, una
disminución de la tasa de homicidios (th)
permite ampliar el ciclo de vida de las firmas.
La inclusión de
la variable logro educativo (le)
busca aportar al modelo efectos con las calificaciones laborales que permitan
productividad sectorial, lo que se espera influya en un mayor ciclo de vida de
las firmas. Este comportamiento se observó, como ya se dijo, en los sectores
alimentos y bebidas, textiles y calzado, madera y fabricación de muebles y
papel e imprentas y editoriales. En el resto de los sectores analizados no se
encuentra relación positiva entre el logro educativo y el surgimiento neto de
las firmas.
El índice de
tasa de cambio real (itcr)
explica, dentro del modelo, la apertura exportadora de los sectores, y se
espera que un mayor índice permita mayor surgimiento neto de las firmas; en el
caso contrario, dada la pérdida de competitividad vía tasa de cambio, hay una
liquidación de firmas que se refleja en menores ciclos de vida. Se obtuvo: 1) que los sectores textilero,
papel e imprentas y editoriales, y minerales no metálicos presentan relación
positiva con el índice de tasa de cambio real; 2) los demás sectores no mejoran el
surgimiento neto por medio del sector externo, o también puede ser que tengan
una alta carga de deuda externa, lo que influye negativamente en su ciclo de
vida al aumentar la tasa de cambio.
Finalmente, la
medición del ciclo de vida considerando las tres dimensiones: organización
industrial (salario
promedio industrial, costo laboral unitario, intensidad del capital y relación
capital producto), geográfica (índice de localización, tamaño de la
población, índice de tasa de cambio real y tasa de desempleo) y social (logro educativo y tasa de
homicidios), identifica la relación directa e inversa que tienen dichas
variables. Por ejemplo: índice de localización y tamaño de la población son las
variables con mayor incidencia directa, mientras que tasa de homicidios tiene
una relación inversa; esto puede explicarse por el impacto en la capacidad
productiva de las firmas; mientras que en relación capital producto, intensidad
del capital y logro educativo, la correspondencia depende del tipo de sector
analizado.
El territorio
como escenario de localización de firmas responde hoy a los procesos de
flexibilidad tanto productiva como socialmente; allí se potencia u obstaculiza
la continuidad de los procesos productivos y sus encadenamientos. La relación
firma-territorio explica en parte la forma en que se han manifestado los
procesos de reestructuración y las transformaciones espaciales de la dinámica
industrial.
Una aproximación
regional al objeto de estudio permite, por un lado, conocer el comportamiento
sectorial dentro de una región, y, por otro lado, da cuenta de las diferencias
en la estructura industrial interregional. A continuación se analizan modelos
datos de panel para cada región, de forma similar a los realizados
sectorialmente.[30]
4. Modelo de datos de
panel por regiones colombianas
En la discusión
desde las esferas sectorial y geográfica es permanente la relación de
interdependencia entre firma y territorio, a la que se liga el desarrollo, como
expresión de las potencialidades endógenas del territorio, a la dinámica
industrial. El crecimiento en las firmas genera progreso económico; al mismo
tiempo, condiciones macroeconómicas adecuadas permiten que las empresas puedan
mantener su competitividad interna y externa.
El desarrollo
aparece como un proceso intangible que depende de elementos tangibles
(acumulación de capital físico y humano) y de una adecuada organización y
estructura interna de las regiones, que garantice el establecimiento de
unidades productivas que potencien el crecimiento territorial y el flujo de
inversiones externas. Se plantea entonces el desarrollo como el efecto conjunto
de factores exógenos y endógenos del territorio.
A continuación
se presenta un análisis sectorial para cada región del estudio mediante un
modelo que relaciona las variables de organización industrial, geográficas y
sociales (véase cuadro 3).
4.1. Análisis de los
sectores en la región Bogotá-Soacha
La localización
es importante en el surgimiento neto de las firmas asentadas en Bogotá-Soacha,
por las ventajas que genera el tamaño de la población y la condición de centro
administrativo, político y económico. En este caso, la variable tasa de
desempleo no suscita impacto positivo en el surgimiento de nuevos proyectos
productivos.
Las variables de
organización industrial no tienen relación estrecha; no obstante, el costo
laboral unitario incide en el incremento del surgimiento neto de las firmas de
la región Bogotá-Soacha, porque a menores costos laborales los empresarios
obtienen ganancias relativas que se traducen en consolidación de su firma.
Cuadro 3
Resultado de un modelo regional de variables de
organización industrial y geográficas para el análisis del ciclo de vida de las
firmas colombianas en el periodo 1995-2000

El
modelo incluyó estimaciones en desviaciones ortogonales.
Los
errores estándar son robustos para heteroscedasticidad.
Los
instrumentos utilizados en el modelo están en niveles.
El
método de estimación es paneles incompletos o desbalanceados por efectos fijos.
El
contraste del multiplicador de Lagrange para el
modelo de efectos aleatorios de Breusch y Pagan
muestra evidencias en favor del modelo de componentes del error.
El
contraste de Hausman valida el método utilizado.
La variable
índice de tasa de cambio real no muestra efectos en el ciclo de vida de las
firmas, ya que una mejora de competitividad vía tasa de cambio no incide en el
surgimiento neto. Este tipo de comportamiento se justificaría en que los
empresarios de Bogotá-Soacha no han cifrado en la tendencia de la tasa de
cambio sus posibilidades de exportar, por el contrario, han desarrollado
ventajas dinámicas y métodos empresariales que los apartan del vaivén
cambiario; otra razón podría encontrarse en el nivel de endeudamiento externo
que tengan los empresarios exportadores de la región, ya que con incrementos de
la tasa de cambio se genera mayor carga de deuda, lo que obstruye el proceso
productivo y deriva en un alto porcentaje de liquidación de firmas, lo que se
traduce en un menor surgimiento neto.
4.2. Análisis de los
sectores en la región Cali-Yumbo
La localización
en Cali-Yumbo no tiene relación positiva con surgimiento neto de las firmas, lo
que muestra que los empresarios no se asientan en esta región por las
posibilidades que les brinda; quizá lo hagan por decisiones de cultura,
tradición o lazos familiares. La variable tamaño de la población tampoco incide
positivamente en el ciclo de vida de las firmas.
Dados los
resultados, puede decirse que en Cali-Yumbo el surgimiento de firmas se
dinamiza por variables distintas de las de organización industrial y las
geográficas, lo que implica que las políticas industriales son ineficientes o
tienen bajo impacto.
4.3. Análisis de los
sectores en la región Medellín-Valle del Aburrá
En el caso de
Medellín-Valle de Aburrá, de acuerdo con las
variables seleccionadas para explicar el ciclo de vida, se evidencia una lógica
regional importante, pues la variable que incide en un mayor surgimiento de
firmas es índice de localización, se aprovechan así las condiciones locales y
se genera en redes un modelo territorial en un ambiente local.
Además, se
encontró que: 1) tamaño de la población, tasa de
desempleo, costo laboral unitario, intensidad del capital e índice de tasa de
cambio real tienen efectos positivos en el surgimiento de firmas en la región,
y 2)
las variables con un comportamiento contrario son: salario promedio industrial
y relación capital producto.
5. Datos de Panel por
regiones colombianas: modelo de organización industrial, localización y
variables sociales
El territorio es
más que un mero receptáculo o soporte físico de las actividades sociales,
económicas y culturales del hombre; constituye un tejido social e histórico,
resultado de las relaciones sociales que se expresan en diversas formas de uso,
ocupación, apropiación y distribución. Las políticas sociales brindan
posibilidades para el ordenamiento y desarrollo sostenible del territorio,
mediante la planificación de las formas de aprovechamiento, su ocupación y la
capacidad de integrar el sistema al conjunto de la población.
Para obtener
consolidación y madurez de los aparatos productivos colombianos, no sólo hay
que pensar en precios, capital y tecnología, sino también en la interacción
social. En el siguiente modelo se incluyen las variables sociales, desde las
cuales se busca entender la incidencia que presenta la situación social en el
ciclo de vida de las firmas regionales, adicional a la localización y a la
organización industrial (véase cuadro 4).
5.1. Análisis de la
región Bogotá-Soacha
El índice de
localización en la región de Bogotá-Soacha muestra economías de aglomeración.
La población es un factor importante en este caso. Aparentemente, esta región
no ha pasado el umbral de urbanización, lo que aún favorece el surgimiento de
firmas, y se generan economías de escala que contribuyen a la consolidación de
las firmas asentadas. Este resultado resalta el peso que posee la aglomeración
de los factores respecto a su simple acumulación, que es además un catalizador
para el crecimiento, pues contribuye, por un lado, a elevar la productividad al
facilitar la combinación de factores y difusión de innovación y conocimiento,
y, por otro, a la eficiencia por su incidencia en la reducción de costos de transporte,
transacción e información para los agentes.
Bogotá-Soacha
presenta signo positivo en la variable tamaño de la población, lo que indica lo
significativo de este factor en la consolidación de las firmas que se localizan
en la región. La existencia de economías de aglomeración y la relación directa
que hay entre el surgimiento de firmas y el tamaño poblacional estarían
indicando que esas economías de aglomeración se asocian a economías de
urbanización.
El índice de
localización sugiere que el número de empresas en el sector todavía no
sobrepasa ciertas bondades de la aglomeración. Se postula como hipótesis que
este índice, con signo positivo, podría ser indirectamente un indicador de
mejor organización de los productores y, en general, de los actores que
concurren en la producción para establecer mejores relaciones sociales entre
organizaciones gremiales.
La tasa de
desempleo, con signo negativo, explica cómo una mayor tasa de desempleo puede
estar asociada a una menor entrada de nuevas firmas al mercado, en el sentido
de que se reduce la posibilidad de consumo en el mercado por parte de las
personas que quedan cesantes. Bogotá-Soacha, por ser el gran centro de consumo
del país, ha alineado su propio crecimiento económico y el de los municipios
aledaños.
Las variables de
organización industrial resultan significativas, pero su aporte al surgimiento
neto de las firmas es marginal y con poca incidencia, cuestión que no se
esperaba a priori,
ya que la región Bogotá-Soacha debería tener alta relación intensidad del
capital y relación capital producto con la fase de consolidación de las firmas
en el ciclo de vida. Este análisis se amplía a la variable externa índice de
tasa de cambio real, la cual presentó signo negativo.
El análisis de
las variables sociales presentó ciertas inconsistencias teóricas en relación
con los resultados. El logro educativo no incide en el surgimiento de empresas,
lo que llevaría a pensar que las firmas de la región no requieren trabajadores
con alta calificación.
Cuadro 4
Resultados de un modelo regional de variables de
organización industrial, geográficas y sociales para el análisis del ciclo de
vida de las firmas colombianas en el periodo 1995-2000

El
modelo incluyó estimaciones en desviaciones ortogonales.
Los
errores estándar son robustos para heteroscedasticidad.
Los
instrumentos utilizados en el modelo están dados en niveles.
El
método de estimación es paneles incompletos o desbalanceados por efectos fijos.
El
contraste del multiplicador de Lagrange para el
modelo de efectos aleatorios de Breusch y Pagan
muestra evidencias en favor del modelo de componentes del error.
El
contraste de Hausman valida el método utilizado.
5.2. Análisis de la
región Cali-Yumbo
En los resultados
de esta región destaca una relación inversa con el índice de localización, lo
cual sugiere que las economías de aglomeración ocurren para un cierto tamaño de
ciudades y de aglomeración de firmas. Esta región muestra que para los
empresarios no es de relevancia el territorio donde se ubican sus firmas. Tal comportamiento
es similar respecto al tamaño de la población: se revela que la magnitud del
mercado local no tiene incidencia en el ciclo de vida de las firmas allí
asentadas.
El desempleo
obtiene un signo negativo, lo que significa que a un mayor nivel de desocupación
corresponde una menor entrada de nuevas firmas al mercado y un mayor ritmo de
liquidación, en el sentido de que se reduce la posibilidad de consumo por parte
de las personas que quedan cesantes, y esto contribuye a reducir el ciclo de
vida de las firmas de los sectores analizados.
Costo laboral
unitario presentó incidencia directa en el surgimiento neto de las firmas, lo
que representa relación positiva con el ciclo de vida que podría estar asociado
a mayor grado de calificación de los trabajadores. De igual forma, relación
capital producto presentó signo negativo, y es elocuente pues demuestra que en
esta región el aporte del capital como factor productivo al valor agregado de
la empresa es en alguna medida un indicador de poca eficiencia.
Las variables
sociales presentaron relación positiva con el surgimiento neto; eso indica que
en Cali-Yumbo la educación es un factor condicionante de los procesos de
inserción del individuo en la sociedad del conocimiento, y que juega un papel
fundamental en el ejercicio de la ciudadanía, ya que, con todas sus
limitaciones, el sistema escolar constituye en esta región uno de los agentes
de socialización que contribuye a la formación y al desarrollo de los
individuos.
El índice de
tasa de cambio real presentó relación positiva con el surgimiento neto, lo que
demuestra que la actitud exportadora de los empresarios del valle del Cauca
puede generarles sinergias positivas en un escenario de seguridad y con mayores
logros educativos en sus trabajadores, lo cual permite un ciclo de vida
prolongado de sus firmas.
5.3. Análisis de la
región Medellín-Valle de Aburrá
Esta región
presenta el índice de localización con signo positivo y alta significancia
estadística que sería producto, por un lado, de estrategias empresariales
diferenciales que interiorizan el valor de uso complejo del territorio en su
afán por conseguir mejores niveles de competitividad; y, por el otro lado, del
aprovechamiento de condiciones locales y la generación de redes en un modelo
territorial. El desempleo es un flagelo que golpea el ciclo de vida de las
firmas antioqueñas al reducir su estabilidad y producir mayores procesos de
liquidación.
En cuanto a las
variables de organización industrial se establece que, aunque todas ellas son
significativas estadísticamente, no presentan relación estrecha con el ciclo de
vida de las firmas. Caso contrario ocurre con la variable externa, donde una
mayor tasa de cambio otorgaría a las firmas un ciclo extenso. Esto muestra que
la ampliación de mercados externos con mayor competitividad permite mayores
tasas de surgimiento de firmas e impide su liquidación, lo que prolonga su
ciclo y les genera madurez productiva.
La variable
social tiene un alto significado para esta región, dado que el logro educativo
presentó signo positivo y alto nivel de significación estadística. Podría
decirse que cuando se alcanza a una masa crítica de la población se contribuye
a una mejor definición de las instituciones y de las reglas de juego
colectivas, y que aumentos de las capacidades humanas permiten que las empresas
accedan a mayores competencias laborales, lo que genera ventajas competitivas
dentro de sus firmas y establece sinergias positivas a la región. Esto
repercutiría en mayores ciclos de vida de las firmas.
Conclusiones
El territorio,
como espacio donde se localizan los sectores, se constituye en un aporte y
soporte para elevar la eficacia de la gestión empresarial local. Es allí donde
la dinámica productiva se vuelve eje de las políticas de fomento que elevan la
capacidad para la asistencia técnica, el acceso a los canales de crédito y a la
información.
En este estudio,
el objetivo básico fue identificar los factores determinantes del ciclo de vida
de las firmas (resta entre el surgimiento y la liquidación de firmas) y la distribución
espacial de la industria manufacturera en Colombia en la segunda mitad de la
década de los noventa. Se partió de que el ciclo de vida y la localización de
los sectores es diferente y cambiante, y para comprobar lo anterior se hicieron
mediciones con el modelo datos de panel por regiones y por sectores que
permitieran observar el comportamiento a través del tiempo.
La medición
evidenció que las fuerzas competitivas influyen directamente en el ciclo de
vida y la localización industrial por medio de su relación con la estructura
interna y con las condiciones que propician un potencial crecimiento o una
etapa recesiva. Las condiciones que marcan la competencia influyen sobre la
estructura y las estrategias de las firmas. La participación de esa competencia
sobre los beneficios potenciales y el entorno que delimita el ciclo de vida de
las firmas explica la existencia de barreras de entrada y salida, el grado de
rivalidad entre las firmas existentes, la presión de los bienes sustitutos y
complementarios y el poder de negociación existente en la cadena de
comercialización.
En los
resultados de los modelos del ciclo de vida se encontró que siendo las mismas
variables medidas por sectores y por regiones, son distintos los resultados.
Algunas variables que en la medición por regiones influyen directamente, en el
análisis por sectores son inversas. Esto muestra el grado de heterogeneidad que
presentan las regiones colombianas y la forma en que los determinantes inciden
en el proceso de surgimiento neto.
El comportamiento
de las variables de los sectores en las distintas regiones en términos de las
dimensiones propuestas no presenta una lógica donde podamos separar impactos de
la organización industrial, por un lado, y de las variables geográficas, por el
otro, sino unas relaciones entre las variables que las definen como
determinantes del ciclo de vida en un territorio determinado. Por ejemplo: el
comportamiento del tamaño de la población por economías de aglomeración tiene
una relación positiva en Medellín-Valle de Aburrá,
Bogotá-Soacha y Cali-Yumbo. El desarrollo tecnológico, visto a través de
relación capital producto, mostró un impacto en el ciclo de vida de las firmas
sólo en Bogotá-Soacha.
Estos resultados
son importantes en el diseño de políticas locales para los sectores productivos
en la industria. La distribución espacial de las actividades económicas y de la
población es resultado de múltiples decisiones individuales y, por tanto,
colectivas. La inclusión de variables sociales en un modelo de relaciones que
tienen que ver con la teoría de la organización industrial (microeconomía) y la
localización (mesoeconomía) adquiere relevancia, ya
que agrega explicaciones de la realidad social del territorio al comportamiento
sectorial.
En cuanto al
análisis de localización, dicha variable explicó el aumento del ciclo de vida
en las regiones Bogotá-Soacha y Medellín-Valle de Aburrá,
mas no en Cali-Yumbo. Debe destacarse el comportamiento de esta variable en
Medellín-Valle de Aburrá, pues muestra en todas las
regresiones una alta significación. Es preocupante el comportamiento, por un
lado, de la variable relación capital producto, ya que tiene signo inverso, por
lo que posiblemente está restándose importancia al desarrollo tecnológico; y,
por otro, de la variable tamaño de la población, que presenta el mismo signo,
lo cual significa que la aglomeración no es determinante en el ciclo de vida de
algunos sectores.
El ciclo de vida
de las firmas no depende sólo de variables micro, asociadas a la organización
industrial, sino también de variables sociales, que aunque son limitadas y
tienen poca información, expresan algunas relaciones. Además, son necesarias
para la consolidación y madurez de los aparatos productivos colombianos porque
no sólo hay que pensar en precios, capital y tecnología, sino también en
interacción social.
La estructura
productiva de un territorio es el fruto de un proceso acumulativo que arranca
de los factores estáticos –ventajas comparativas– que determinan la capacidad
para atraer y consolidar proyectos empresariales, y se vuelve un proceso
dinámico de interacciones en los espacios productivos. Las ventajas iniciales
de la región le definen su especialización inicial, pero luego van
incorporándose características de las economías de índole externa y del crecimiento
económico.
Los territorios
generan un comportamiento sectorial nacional que responde a comportamientos en
el ciclo de vida desde: 1) la localización, el tamaño de la
población y el salario promedio industrial, variables que, de acuerdo con los resultados,
lo hacen reaccionar de forma directa; 2) el costo laboral unitario y la tasa
de desempleo lo hacen reaccionar de forma contraria; 3) la relación capital producto es
positiva al ciclo de vida de las firmas en la mayoría de los sectores, excepto en
alimentos y bebidas, metálicos y otras industrias manufactureras, lo cual
amerita una política de ciencia y tecnología que dé respuesta al tipo de
empresas que emergen en cada sector; 4) es importante analizar con
detenimiento el signo de la tasa de desempleo frente a la propuesta de política
económica donde se plantea que los incentivos empresariales pueden disminuir la
tasa de desempleo, y, por último, 5) es importante analizar la relación de
salario promedio industrial y costo laboral unitario, que caminan en
direcciones contrarias.
Los resultados
de la modelación muestran que el grado de heterogeneidad estructural y la poca
especialización de algunos sectores y regiones son determinados por distintos
factores. Este planteamiento necesita ser tenido en cuenta en el delineamiento
de una política industrial que potencie ventajas de cada región para la
localización, la especialización y la competencia.
Aunque en el
estudio se evidenciaron las relaciones estructurales por regiones y sectores,
resultó difícil verificar las relaciones intersectoriales, pues no se
establecen parámetros en los que pueda observarse el comportamiento
empresarial, el emprendimiento y la dinámica de localización que genera cada
territorio a los sectores analizados, asimismo la relación existente de los
sectores entre sí y su dinámica en el surgimiento y en la liquidación de las
firmas.
Se propuso el
modelo con dos variables sociales que reflejan la realidad del territorio
colombiano: tasa de homicidio y logro educativo. En la medición que incluía
dichas variables se encontró que el segundo podía ser un determinante del
surgimiento neto, y que tasa de homicidios no generaba surgimientos netos
positivos, como era lo esperado.
Estos
resultados, en una propuesta institucional de política industrial, resultan
significativos en la medida que la dinámica de sectores productivos no tiene
los mismos énfasis ni en los sectores ni en las regiones; por lo tanto, las
demandas de calificación en tecnologías y recursos son diferentes. Un ejemplo:
mientras que costo laboral unitario es negativo al surgimiento neto en
Bogotá-Soacha, en Cali-Yumbo y Medellín-Valle de Aburrá
es positivo.
¿Cuál es la
apuesta, o cuáles son las preocupaciones que tienen que asumirse en términos de
los territorios y de los sectores, y cuáles son las razones por las que surgen
y se liquidan las empresas en Colombia? Estas son interrogantes que emergen con
miras a hacer un aporte a la construcción de políticas para el desarrollo
productivo desde los impactos en el territorio y los sectores. En última
instancia, la consolidación del ciclo de vida de las firmas lo que hace es
fortalecer en su interior a los territorios, y en ellos, a los sectores que
allí se localizan.
Anexo
Cuadro 1a
Resultados
de un modelo regional por sectores de variables
de
organización industrial, geográficas y sociales para el análisis del ciclo de
vida de las firmas colombianas en
el periodo 1995-2000


El modelo incluyó estimaciones en
desviaciones ortogonales.
Los errores estándar son robustos para
heteroscedasticidad.
Los instrumentos utilizados en el
modelo están en niveles.
El método de estimación es paneles
incompletos o desbalanceados por efectos fijos.
El contraste del multiplicador de Lagrange para el modelo de efectos aleatorios de Breusch y Pagan muestra evidencias en favor del modelo de
componentes del error.
El contraste de Hausman
valida el método utilizado.
* La segunda regresión del modelo se
efectuó sin la información regional sobre resto del país.
** La segunda regresión del modelo se
efectuó sin la información regional sobre Barranquilla-Soledad, Medellín-Valle
del Aburrá y el resto del país.
Fuente: Cálculos de los autores con
base en datos de las Cámaras de Comercio y del Departamento Administrativo
Nacional de Estadística.
Cuadro 2a
Resultados de un modelo regional de variables de
organización industrial y geográficas para el análisis del ciclo de vida de las
firmas colombianas en el periodo 1995-2000


El modelo incluyó estimaciones en
desviaciones ortogonales.
Los errores estándar son robustos para
heteroscedasticidad.
Los instrumentos utilizados en el
modelo están en niveles.
El método de estimación es paneles
incompletos o desbalanceados por efectos fijos.
El contraste del multiplicador de Lagrange para el modelo de efectos aleatorios de Breusch y Pagan muestra evidencias en favor del modelo de
componentes del error.
El contraste de Hausman
valida el método utilizado.
* La segunda regresión del modelo se
efectuó sin la información sectorial sobre textil y calzado y químicos.
Fuente:
Cálculos de los autores con base en datos de las Cámaras de Comercio y del
Departamento Administrativo Nacional de Estadística.
Cuadro 3a
Resultados de un modelo regional de variables de
organización industrial, geográficas y sociales para el análisis del ciclo de
vida de las firmas colombianas en el periodo 1995-2000


El modelo incluyó estimaciones en
desviaciones ortogonales.
Los errores estándar son robustos para
heteroscedasticidad.
Los instrumentos utilizados en el
modelo están en niveles.
El método de estimación es paneles
incompletos o desbalanceados por efectos fijos.
El contraste del multiplicador de Lagrange para el modelo de efectos aleatorios de Breusch y Pagan muestra evidencias en favor del modelo de
componentes del error.
El contraste de Hausman
valida el método utilizado.
* La regresión efectuada para
Bucaramanga-Girón-Floridablanca tuvo en cuenta la variable social tasa de
homicidios. En este caso, se obtuvo un coeficiente de –0.0235, aunque resultó insignificativa estadísticamente.
Fuente:
Cálculos de los autores con base en datos de las Cámaras de Comercio y del
Departamento Administrativo Nacional de Estadística.
Bibliografía
Acs, Zoltan
J. y David B. Audretsch (1989), “Patents as a Measure
of Innovative Activity”, Kyklos, xlii
(2): 171-180.
______ (1994), “New-Firm Startups, Technology, and
Macroeconomic Fluctuations”, Small
Business Economics, Springer, 6 (6): 439-449.
______ (1998).
“Innovación, estructura del mercado y tamaño de la empresa”, en Hugo Kantis, Gabriel Yoguel et
al., Desarrollo
y gestión de pymes: aportes para un debate necesario, Universidad Nacional de General
Sarmiento, colecc. Libros de
la Universidad, Buenos Aires.
Arellano, Manuel y Stephen R. Bond (1991), “Some Test
of Specification for Panel Data: Monte Carlo Evidence and an Application to
Employment Equations”, Review of
Economic Studies, 58 (2): 277-297.
______ y Olimpia
Bover (1995), “Another Look at the
Instrumental-Variable Estimation of Error-Components Models”, Journal of Econometrics, 68 (1):
29-51.
Armington, Catherine y Zoltan Acs (2000), The Determinants of Regional Variation in New Firm
Formation, University of Baltimore, Baltimore, md, octubre.
Audretsch, David B. y
Michael Fritsch (1999), “The Industry Component of Regional New Firm Formation
Processes”, Review of
Industrial Organization, 15 (3): 239-252.
Burachik, Gustavo (2000), “Cambio tecnológico
y dinámica industrial en América Latina”, Revista de
la Cepal,
agosto 71: 85-104.
Cardona Marleny y Adriana Ángel (1999), Impacto
de las redes industriales en la política sectorial: el caso de los alimentos,
textil-confección y metalmecánica,
investigación institucional, Universidad Eafit,
Medellín, Colombia.
______, Ana
Rocío Osorio y Camilo Coronado (2001), Surgimiento de firmas regionales
colombianas (1995-2000),
investigación institucional, Universidad Eafit,
Medellín, Colombia.
______, Ana
Rocío Osorio y Carlos Andrés Cano (2003), Ciclo de
vida y localización espacial de las firmas en Colombia 1995-2000, investigación institucional,
Universidad Eafit, Medellín, Colombia.
Cepal (Comisión Económica para América
Latina y el Caribe) (2000), “Un crecimiento más dinámico”, Equidad,
desarrollo y ciudadanía,
Naciones Unidas-Cepal, México.
Davidson, Per, Leif Lindmark
y Christer Olofsson (1994),
“New Firm Formation and Regional Development in Sweden”, Regional Studies, 28 (4): 395-410.
Departamento
Administrativo Nacional de Estadística (dane),
Encuesta anual manufacturera 1980-2000, Departamento Nacional de Planeación
(dnp), Colombia, www.dnp.gov.co.
Durán, Xavier et
al. (1998), La
innovación tecnológica en Colombia. Características por tamaño y tipo de
empresa, dnp-Colciencias, Bogotá.
Echeverry
Garzón, Juan Carlos (1999), “La recesión actual en Colombia:
flujos, balances y política anticíclica, Archivos
de Macroeconomía,
113, dnp, Unidad de Análisis
Macroeconómico, Bogotá.
Feldman, Maryann P. y David B. Audretsch
(1998), “Innovation in Cities: Science-Based Diversity, Specialization and
Localized Competition”, European
Economic Review, 43: 409-429.
Greene, William H. (2003), Econometric Analysis, Prentice
Hall, Nueva Jersey.
Hansen, Lars Peter (1982), “Large Sample Properties of
Generalized Method of Moments Estimator”, Econometrica, 50:
1029-1053.
Keeble, David y Sheila Walker (1994),
“New Firms, Small Firms and Dead Firms: Spatial Patterns and Determinants in
the United Kingdom”, Regional
Studies, 28 (4): 411-427.
Lora, Eduardo
(2001), Los obstáculos al desarrollo empresarial y el tamaño
de las firmas en América Latina,
Banco Interamericano de Desarrollo, Washington, dc.
Lotero, Jorge
(1998), “Crisis, reconversión industrial y cambio técnico en el sistema urbano
colombiano (1975-1991)”, en Carlos A. de Mattos, Daniel Hiernaux
y Darío Restrepo (comps.), Globalización
y territorio. Impactos y perspectivas,
Pontificia Universidad Católica de Chile-Fondo de Cultura Económica, Santiago
de Chile.
Mátyás, László
(ed.) (1999), Generalizad Method of Moments Estimation, Cambridge
University Press, Cambridge.
Méndez, Ricardo
e Inmaculada Caravaca (1996), Organización industrial y
territorio, Síntesis,
Madrid.
Roper, Stephen y James H. Love (1999), “Determinants
of Innovation: R&D, Technology Transfer and Networking Effects”, Review of Industrial Organization,
15: 43-64.
Schumpeter, Joseph A. (1975), Teoría
del desenvolvimiento económico. Una investigación sobre ganancias, capital, crédito,
interés y ciclo económico,
Fondo de Cultura Económica, México.
Tirole, Jean (1997), The Theory of Industrial Organization,
The mit Press, Massachusetts.
Recibido:
22 de septiembre de 2004.
Reenviado:
3 de junio de 2005.
Aceptado:
7 de octubre de 2005.
Marleny
Cardona Acevedo es
directora del Grupo de Estudios Sectoriales y Territoriales (esyt) y profesora de la Universidad Eafit de Medellín (Colombia). Economista de la Universidad
de Antioquia (Colombia) y doctora en ciencias sociales de El Colegio de la
Frontera Norte (México). Entre sus investigaciones más relevantes se
encuentran: La cadena productiva como estrategia competitiva en la
industria del vestido: los casos de Monterrey y Medellín (1997); Las
cadenas productivas como estrategia de competitividad en los sectores:
alimentos, textil, confección y metalmecánico (1998); Evaluación del sector floricultor
en Colombia (1998); Impacto
de las redes productivas en la política sectorial (1999) con Adriana Ángel; Trayectorias
profesionales y laborales de los egresados de Administración (2000) con Ana Rocío Osorio y Carlos
Londoño; Determinantes en el surgimiento y localización de
firmas (2001) con
Camilo Coronado; Sociedad en red, innovación y
sistemas de información: análisis de caso en las telecomunicaciones y el software para
la industria en Colombia
(2003); El ciclo de vida y localización espacial de las firmas
en Colombia 1995-2000
(2003), y Las mipymes en el
crecimiento industrial colombiano 1980-2000 (2004).
Carlos Andrés Cano Gamboa es economista por la Universidad Eafit, Joven Investigador Colciencias (2004), asistente de
investigación del Grupo de Estudios Sectoriales y Territoriales esyt, profesor de Macroeconomía,
Microeconomía y Procesos de Investigación Aplicada de la Universidad Eafit de Medellín. Entre sus investigaciones más relevantes
se encuentran: El ciclo de vida y localización
espacial de las firmas en Colombia 1995-2000 (2003); Las mipymes
en el crecimiento industrial colombiano 1980-2000 (2004), Composición,
concentración y combinación de factores productivos de las mipymes
en la industria colombiana (1980-2000): Un análisis de datos de panel.
[1] La investigación base de este trabajo es: Ciclo de vida y localización espacial de las firmas en Colombia 1995-2000, realizada en la Universidad Eafit de Medellín (Colombia), por el Grupo de Estudios Sectoriales y Territoriales (esyt), durante 2003. La investigación contó con la participación de Ana Rocío Osorio, a quien se agradecen sus aportes durante todo el proceso. También agradecemos a Marcela Orozco por su colaboración.
[2] La instancia regional se convierte en un punto clave para la formulación de políticas que consideran la diversidad y la heterogeneidad, y sobre las cuales puede realizarse una evaluación de impactos de la organización espacial de las firmas.
[3] Los convenios, acuerdos y tratados de libre comercio son expresión de las nuevas dinámicas en los territorios. Se expresan, por un lado, en la generación de firmas localizadas espacialmente, y, por el otro, en la refuncionalización del Estado en favor de la política económica como directriz para participar en las cadenas de producción y comercialización.
[4] Así, la región en el marco de la globalización es un espacio de interés en el cual cobran importancia las economías locales, en particular, como expresión de la superposición de los procesos de descentralización y vaciamiento de poder del Estado central.
[5] Así, por ejemplo, para Tirole (1997: 15) la empresa (firma) es aquella capaz de producir (o vender) con más eficiencia de lo que lo harían sus partes constituidas actuando por separado. Schumpeter (1975: 84) define la empresa como la realización de nuevas combinaciones, y a los empresarios, como los individuos encargados de dirigirla; por eso integra la definición de empresario a la de innovador, tanto así que el carácter de emprendedor se pierde una vez que se inicia el negocio y se empieza a producir. Méndez y Caravaca (1996: 35) consideran a la firma como una entidad con capacidad de decisión, gestión y administración, que presenta una determinada estructura interna y declara un domicilio o razón social, aunque la localización de sus actividades pueda situarse en uno o varios establecimientos en lugares diversos. En este trabajo se asume la firma como una unidad sectorial integrada por recursos humanos, financieros y físicos que ofrece un bien terminado; está sujeta a ajustes permanentes ante cambios en las disposiciones legales y políticas; busca reducir costos de transacción y está conformada por individuos que toman decisiones racionales, donde la información no puede ser transmitida sin costos; la empresa no persigue un objetivo único y constituye coaliciones entre participantes con intereses muchas veces divergentes.
[6] La región alude a un territorio y a la dotación de recursos productivos. En ella ocurre un conjunto de interacciones que conforman un sistema compuesto por subsistemas productivos, institucionales y culturales, que encierran un cúmulo de relaciones tales como capital-trabajo, los flujos de intercambio, las relaciones monetarias y las pautas de comportamiento social.
[7] La dinámica industrial se explica desde el ciclo de vida industrial como parte fundamental del proceso de desarrollo. La innovación, la generación de empleo y las actividades de cooperación son elementos esenciales para su entendimiento. En este tipo de análisis algunos autores otorgan mayor poder explicativo al nivel macroeconómico espacial; otros se concentran en el análisis microeconómico, en particular en la teoría de la organización industrial.
[8] En este documento, el ciclo de vida industrial es calculado como la diferencia entre el surgimiento y la desaparición de las firmas en cada sector y en cada región, según la información suministrada por las distintas cámaras de comercio de cada región en Colombia.
[9] Los estudios precedentes a esta investigación han establecido que las micro, pequeñas y medianas empresas (mipymes) tienen un ciclo de vida industrial inestable y de menor duración que el de las grandes empresas. El reconocimiento de las diferencias entre las grandes y las pequeñas empresas facilita la mejor comprensión de la realidad de la base empresarial del país, la construcción de teoría económica relativa al crecimiento económico nacional y la recuperación del papel de los empresarios como dinamizadores de la actividad económica.
[10] Los resultados de la investigación Ciclo de vida y localización espacial de las firmas en Colombia 1995-2000 son para seis regiones colombianas. En este artículo, los resultados se presentan para las tres arriba mencionadas. Los resultados globales se presentan en el anexo del artículo.
[11] La información del modelo datos de panel sobre la dinámica del ciclo de vida es el número de registros de instalación y liquidación de firmas año por año realizados en seis regiones, y para los siguientes sectores: fabricación de productos alimenticios, excepto bebidas (311-312); industria de bebidas (313); fabricación de textiles (321); fabricación de prendas de vestir, excepto calzado (322); fabricación de calzado y sus partes, excepto el de caucho o plástico (324); industria de la madera y productos de la madera y el corcho, excepto muebles (331); fabricación de muebles y accesorios, excepto los que son principalmente metálicos (332); fabricación de papel y productos de papel (341); imprentas, editoriales e industrias conexas (342); fabricación de sustancias químicas industriales (351); fabricación de otros productos químicos (352); fabricación de productos de caucho (355); fabricación de productos plásticos (356); fabricación de otros productos minerales no metálicos (369); fabricación de productos metálicos, exceptuando maquinaria y equipo (381); construcción de maquinaria, exceptuando la eléctrica (382); construcción de equipo y material de transporte (384), y otras industrias manufactureras (390).
[12] A partir de la década de 1970, pocas empresas industriales colombianas crecieron realmente más allá de las oportunidades del mercado interior. Colombia siguió viviendo de las exportaciones primarias de café, carbón, petróleo y otros productos, protegiendo el mercado interior y manteniendo una industria que para la década de 1980 era pequeña, poco competitiva y con una baja participación en el mercado internacional.
[13] De acuerdo con Lotero (1998), en Colombia se habían introducido algunos ajustes y llevado a la práctica procesos de reconversión industrial, sin que por ello puedan catalogarse como estructurales. A estas peculiaridades del manejo macroeconómico y del comportamiento de la industria, se suma la del sistema urbano-regional del país. Colombia ha contado con un sistema descentralizado y relativamente flexible que ha permitido que a lo largo de la historia del desarrollo económico se produzcan ajustes parciales de cierta magnitud.
[14] Así, en la economía colombiana viene ganando participación el sector de servicios, incluidos los servicios financieros, los cuales pasaron de representar 26.7% del producto interno bruto (pib) en 1980, a 30.7% en 1998. Igualmente, la explotación de minas y canteras, que incluye hidrocarburos, ganó participación en la producción en ese decenio, de 1.3% a 4.9%. Por el contrario, la agricultura y la industria han mostrado una tendencia decreciente dentro de la producción total, especialmente acentuada desde 1994. En efecto, la agricultura pasó de representar 22.7% del producto en 1980, a 20.6% en 1993 y 18.4% en 1998. La participación de la industria en el pib pasó de representar 22.4% en 1980, a 17.9% en 1998 (información recopilada en el Departamento Administrativo Nacional de Estadística de Colombia, dane).
[15] En efecto, según Echeverry (1999), en 1980 el café exportado equivalía a 59% de las exportaciones totales; a partir de entonces empezó a perder participación hasta representar 17.5% en 1998. Esto hacía que la economía colombiana estuviera más expuesta a las variaciones del precio internacional del café. Por otra parte, se observa un aumento sustancial en la participación de las exportaciones de hidrocarburos, es decir, de carbón y petróleo. De hecho, en 1980 las exportaciones por este concepto representaron 2.9% del total exportado, mientras que en 1998 aumentaron a 30.3%. Al mismo tiempo, otras exportaciones no tradicionales como las flores y el banano representaron 2.4% en 1980, y aumentaron a 9.5% del total en 1998.
[16] La microempresa se define en Colombia como aquella constituida con uno a 10 trabajadores; la pequeña empresa, aquella con 11 a 50 trabajadores, y la mediana empresa, con 51 a 200 trabajadores.
[17] En el periodo postapertura (1991-1995), según el Departamento Nacional de Planeación (dnp) de Colombia, el mejor comportamiento promedio lo presentó la mediana empresa, que sostuvo un crecimiento anual de 6.4% en promedio, frente a 4.8% de la gran empresa y a 4.4% de la pequeña empresa. La dinámica de la mediana empresa en ese periodo se debió al desempeño positivo de los bienes de capital, los bienes intermedios y los bienes de consumo no durables, mientras que la acentuada caída promedio en la producción de la pequeña empresa se presentó por descensos en la producción de los bienes de consumo duradero y no duradero.
[18] En las investigaciones del Grupo de Estudios Sectoriales y Territoriales de la Universidad Eafit de Medellín, se ha evidenciado que el territorio tiene alto impacto en las condiciones del crecimiento industrial. En la investigación ya referida (Cardona, Osorio y Cano, 2003), se confirmó que el ciclo de vida, la estructura y localización de las firmas no son indiferentes al paso del tiempo, sino que permanecen en un proceso de evolución donde se condicionan variables que interactúan entre sí permitiendo consolidación o declive de los aparatos productivos. Estas variables pueden ser tanto externas como inherentes al proceso productivo sectorial y regional.
[19] Relación entre el valor de los activos fijos reales de cada industria (Kijt) (deflactado por el índice de precios al productor [ipp], base 1998) y el total de personal ocupado en cada una de ellas (Nijt). Incluye personal permanente y temporal.
[20] Muestra la razón entre el valor de los activos fijos reales (Kijt) y el valor agregado real de cada industria (VAijt), deflactados por el ipp, base 1998.
[21] Relación entre la remuneración laboral unitaria y la productividad laboral unitaria de cada industria. Éstas se definen, respectivamente, como la razón de sueldos y salarios de la industria, y la razón producción bruta real de la industria; la primera deflactada por el índice de precios al consumidor (ipc), base 1998, y la segunda, por el ipp, base 1998. En otras palabras, se definen como la razón sueldos y salarios (Wijt), y la producción industrial (Yijt) para cada sector considerado.
[22] Razón entre el valor de los sueldos y salarios para el total de la industria manufacturera de cada área metropolitana (Wjt) deflactado por el ipc, base 1998, y el total del personal ocupado en la industria (Njt). Incluye personal permanente y temporal.
[23] Está basado en el número de establecimientos, de manera que da cuenta del grado de aglomeración de los sectores económicos en las regiones. Se define como la razón entre la proporción de establecimientos (Eijt) de cada sector y región, respecto al total de establecimientos del total de la industria manufacturera en cada región (Emjt) y la misma proporción, pero calculada para el total nacional (n).
[24] Las bases de datos y su estructuración para la modelación generaron algunas dificultades en la calidad y cantidad de los datos, lo que limitó el tipo de método que podría utilizarse en el momento de realizar las predicciones. En este caso, se encontró: 1) poca homogeneización de la información disponible; 2) diferencias regionales y sectoriales en el tipo de variables construidas; 3) en el ámbito de las economías regionales en Colombia no existe información oficial por tamaño de firmas; 4) la construcción del dato, y 5) la heterogeneidad estructural de las regiones y de los sectores en Colombia.
[25] Las variables utilizadas en este modelo fueron: el tamaño de las firmas (como proxy de la estructura de la industria en las regiones), el crecimiento poblacional, el ingreso per cápita, la tasa de desempleo, la concentración industrial y el logro educativo.
[26] Si los errores en niveles son serialmente independientes, presentarán en primeras diferencias correlación serial de orden 1, pero no de orden 2. Arellano y Bond (1991) desarrollan un test formal conocido como el estadístico . En la hipótesis nula de no correlación serial, este estadístico es calculado de los residuales en primeras diferencias, excepto cuando la estimación es en niveles. El estadístico mj está basado en la autocovarianza de orden j–th promedio, rj, la cual está planteada por: , donde rtj= E(∆υit∆i,t–j). En la hipótesis nula H0: rj=0, el estadístico está dado por , donde rj es la contraparte muestral de , basado en los residuales en primeras diferencias , y , , donde es la varianza asintótica de rj.
[27] El test de especificación de Hausman se utiliza para verificar la ortogonalidad de los efectos aleatorios y los regresores. Está basado en la idea de que en la hipótesis de no correlación, el modelo de mínimos cuadrados ordinarios en el modelo de variables dummies de mínimos cuadrados y el modelo de mínimos cuadrados generalizados son consistentes, pero el modelo de mínimos cuadrados ordinarios es ineficiente. La otra alternativa es que mínimos cuadrados ordinarios es consistente, pero mínimos cuadrados generalizados no lo es. De esta forma, en la hipótesis nula los dos estimadores podrían no diferir sistemáticamente, y el test puede estar basado en la diferencia.
(1)
El resultado esencial del test de Hausman es que la covarianza de un estimador eficiente con la diferencia de un estimador ineficiente es cero, lo que implica que:
(2)
o que:
(3)
Insertando este resultado en (1) se produce la matriz de covarianza requerida para el test:
El test de chi-cuadrada está basada en el criterio Wald:
Para y se utiliza la matriz de covarianzas estimadas del coeficiente del estimador del modelo de mínimos cuadrados de variables dummies y la matriz de covarianzas estimadas en el modelo de efectos aleatorios, excluyendo el término constante. En la hipótesis nula, W tiene una distribución chi-cuadrada con K–1 grados de libertad (Greene, 2003: 300-302).
[28] El test para efectos aleatorios de Breusch y Pagan se presenta en un multiplicador de Lagrange basado en los residuales de los mínimos cuadrados ordinarios. La prueba contrasta las hipótesis:
En la hipótesis nula,es distribuida como una chi-cuadrada con un grado de libertad.
[29] Méndez y Caravaca (1996) definen este tipo de ventajas como el dominio y control, por parte de una empresa, de una característica, habilidad, recurso o conocimiento que incrementa su eficiencia y le permite distanciarse de la competencia. Este aspecto supone que las empresas con ventajas competitivas logran tener un ciclo de vida mayor.
[30] Se consideran como unidades de sección cruzada la organización industrial: salario promedio industrial (spi), costo laboral unitario (clu), intensidad del capital (ik) y relación capital producto (rkp); variables geográficas: índice de localización (il), tamaño de la población (pb), tasa de desempleo (dsm) e índice de tasa de cambio real (itcr); y variables sociales: logro educativo (le), y tasa de homicidios (hmd)