La reforma del Estado y el acceso de los pueblos indios a
los medios de comunicación
Javier Esteinou Madrid*
Margarita
Loera Chávez y Peniche**
Abstract
The
uprising of the Zapatista National Liberation Army (Ejército
Zapatista de Liberación Nacional)
on January first, 1994 not only stated demands related to justice, peace,
dignity and recognition of the indian communities
basic rights, but also their access to collective communication media. For that
reason, the point number 9 of San Andrés Larráinzar Agreements
and the seventh clause of the Legal Iniciative of
Indian Rights and Culture officially stated that the Mexican state had
recognized that “indian people are entitled to free
determination and autonomy, as a part of the Mexican state […] to acquire,
operate and administrate their own communication media”. However, in spite of
this political recognition, the agreements contained within both law iniciatives sent to the Legislative Power were deceitful
and non sufficient to achieve a substantial change in
the issue, and consequently, things remained unaltered.
Keywords: access to collective communication media, Zapatista
National Liberation Army, indigenous culture.
Resumen
El
levantamiento del Ejército Zapatista de Liberación Nacional el 1 de enero de
1994 ha planteado en los últimos siete años que las comunidades indígenas,
además de demandar justicia, paz, dignidad y reivindicación de sus derechos
básicos, también exigieran acceso a los medios colectivos de comunicación. Es
por ello que el punto 9 de los Acuerdos de San Andrés Larráinzar
y la Iniciativa de Ley de Reforma de Cultura y Derechos Indígenas, en su inciso
7, formularon oficialmente que el Estado mexicano reconocía que “los pueblos
indígenas tienen el derecho a la libre determinación y a la autonomía, como
parte del Estado mexicano [...] para adquirir, operar y administrar sus propios
medios de comunicación”. No obstante estos reconocimientos políticos, los
acuerdos pactados en ambas iniciativas de Ley enviadas al Poder Legislativo
fueron engañosos e insuficientes para lograr un cambio sustancial en esta
materia, y en consecuencia, todo permaneció igual.
Palabras clave:
acceso a medios colectivos de comunicación, Ejército Zapatista de Liberación
Nacional, cultura indígena.
*
Universidad Autónoma Metropolitana, Unidad Xochimilco. Correo-e:
jesteino@cueyatl.uam.mx
**
Instituto Nacional de Antropología e Historia. Correo-e: magaloera@yahoo.com.mx
1. Medios de
comunicación y participación social
El surgimiento de
los medios de información y sus nuevas capacidades tecnológico-materiales que
conquistaron a México a lo largo del siglo xx
y lo que va del xxi –como
son su amplia cobertura informativa, gran penetración mental, rápida capacidad
de difusión, enorme versatilidad semiótica, gran perfeccionamiento tecnológico,
etc.– se han convertido en el centro del poder contemporáneo de nuestra nación.
Después de haber sido instrumentos de difusión relevantes en el México de 1920
y de convertirse en el cuarto poder político a partir de 1960 como corresponsables
del poder, en la década de los años 90 se han transformado en el vértice del
actual poder. Es decir, ya no sólo son instituciones importantes o el cuarto
poder, sino que ahora son el primer poder que existe en nuestra sociedad.
De esta forma, frente a la
tradicional acción de los sistemas escolar y religioso en nuestro país, los
medios se han convertido en la principal red cultural y educativa capaz de
cambiar con mayor rapidez y agilidad los valores, actitudes, hábitos y
conductas de los receptores. En una idea, dirigen la cultura cotidiana en cada
periodo histórico y social. Los medios se han transformado en los principales
mediadores culturales, a través de los cuales se articula ideológicamente a
nuestra sociedad, convirtiéndose en las principales instituciones colectivas
organizadoras de la historia y la vida moderna de México.
En este sentido, la construcción o
destrucción de la realidad masiva cotidiana, es decir, la definición de lo que
existe o no existe, de lo que es bueno o es malo, de lo que hay por recordar u
olvidar, de lo que es importante o no, de lo que es verdad o mentira, de lo que es visible o invisible, de
lo que son valores o antivalores, de lo que es la opinión pública o de lo que no
lo es, de lo que es virtuoso o no, de lo que hay por hablar o silenciar, de lo
que hay por admirar o rechazar, de lo que es el éxito o el fracaso, se elabora
cada vez más, especialmente en las grandes ciudades, desde los medios
colectivos de difusión.
Pese a que los medios de información
se han convertido en el primer poder en México, tradicionalmente el surgimiento
y aprovechamiento de éstos ha surgido calcando la estructura y dinámica,
económica y política de nuestra sociedad. Así, los procesos masivos de
comunicación no han emergido en espacios neutros o independientes, sino que han
cobrado vida vinculados a las necesidades de existencia y reproducción de
nuestra sociedad capitalista en vías, primero de industrialización, y ahora de
globalización.
Esta tendencia ha ocasionado, entre
otros fenómenos comunicativos, que la estructura de medios de comunicación en
México se encuentre altamente concentrada y centralizada. Dentro de este marco
histórico de concentración informativa, el margen de participación de los
movimientos sociales a través de los medios de comunicación, y por lo tanto, la
capacidad de ejercer su derecho a la información, han sido sumamente estrechos, sin
llegar a ser un fenómeno monolítico. El margen de acción ciudadana ha oscilado
entre una gama de intervenciones que varían desde los canales escritos hasta
los electrónicos. Así, encontramos que las vías a través de las cuales los
movimientos sociales mexicanos han participado con mayor fuerza, desde
principios de siglo hasta la fecha para expresar sus intereses y demandas y aplicar
su derecho a la comunicación se concentra con mayor peso en los medios impresos
y se cierra casi por completo en los canales electrónicos, particularmente
audiovisuales, lo que crea una profunda crisis en el ejercicio del derecho a la
información y a la comunicación.
No obstante que en la actualidad la
sociedad mexicana ya ha alcanzado los cien millones de habitantes, y pese a que
en última instancia los grupos básicos que sostienen a nuestra nación son los
que financian el funcionamiento de la televisión, confirmamos que la mayor
parte de estos sectores básicos no tienen acceso a la participación en este
medio de comunicación para exponer colectivamente sus necesidades e
incorporarse a los procesos de gestión pública del país. Por ello podemos afirmar
que, salvo algunas excepciones, la información televisiva que ha producido y
difundido el actual modelo de televisión privada y algunos modelos públicos no
ha permitido la expresión de las necesidades de los grandes grupos ciudadanos;
y en consecuencia, no se han dedicado sustantivamente a crear conciencia sobre
los principales problemas que debemos resolver para sobrevivir (véase el cuadro
1).
Cuadro 1
Diagrama de
participación de los movimientos sociales en México a través de los medios de
comunicación

Fuente: elaboración propia.
Constatamos, por
ejemplo, que las organizaciones campesinas no cuentan con espacios televisivos
para que desde éstos soliciten apoyos crediticios para ejercerlos en el campo,
exijan mejores precios de garantía a sus cosechas, demanden el reparto de
tierras, o denuncien el extendido cacicazgo y la corrupción de autoridades o
funcionarios. Los sindicatos tampoco cuentan con tiempo informativo para pedir
aumentos salariales, elevar sus condiciones generales de vida, o denunciar las
anomalías existentes en su interior.
Los partidos políticos tampoco gozan
de suficiente margen televisivo para fortalecer su participación en la
sociedad, perfeccionar el sistema electoral, mantener contacto masivo con sus
representados, o difundir sus propuestas y posiciones partidistas. No obstante
que actualmente vivimos una fase de colapso ambiental en el valle de México y
el resto del país por la profunda relación destructiva que mantenemos con la
naturaleza, los movimientos ecologistas no cuentan con ningún espacio de las
redes nacionales de televisión para difundir su labor en pro de la defensa de
la vida.
A pesar de que sobre los sectores
magisteriales descansa la formación del capital cerebral del país a través de
la acción educativa, éstos tampoco cuentan con espacios en los medios
audiovisuales para contrarrestar la acción deformante de la cultura parasitaria
que ha creado la sociedad de consumo, y en contrapartida fortalecer el proyecto
educativo de la escuela nacional. Las diversas asociaciones religiosas que
componen el complejo espectro religioso de nuestro país tampoco tienen acceso a
los medios de información, salvo los espacios que pagan ellas mismas.
Otras células básicas, como los
productores agropecuarios, los transportistas, los grupos de
amas de casa, las
asociaciones de padres de familia, los grupos de colonos, los
estudiantes, los profesionistas, las organizaciones no gubernamentales (ong), entre otras, tampoco disponen de
espacios en las pantallas para plantear y discutir sus problemáticas
particulares.
Los numerosos grupos indígenas
fundadores desde hace milenios de nuestro territorio y cultura, hoy en día, al
iniciar el siglo xxi, no tienen
ningún espacio en la televisión para expresar sus necesidades, cosmovisión,
pluriculturalidad, originalidad, dolor o tristeza generado desde hace más de
510 años por la conquista española y por la marginación en que los ha colocado
el proyecto occidental de desarrollo nacional. La única excepción de este caso
es la participación de las etnias en las radiodifusoras indígenas, pero
fuertemente mediatizadas por los mecanismos de control oficial a cargo del
Instituto Nacional Indigenista (ini),
lo cual impide la expresión de los intereses y necesidades de las etnias
(véanse los cuadros 2, 3 y 4).
Este control gubernamental de las
radiodifusoras indígenas ha impedido que las etnias participen de forma
constante y directa en la construcción de un nuevo espacio público que
contribuya a crear otra cultura para la sobrevivencia nacional. En cambio, dichos
espacios de participación han funcionado más bien como un espacio de control
indígena y de legitimación del viejo Estado.
Es por ello que es necesario
repensar qué hacer en términos políticos para crear otro proyecto colectivo de
comunicación social, que rescate el espíritu democratizador de la sociedad
mexicana y permita la expresión de los grandes grupos a través de los medios de
difusión colectivos, especialmente de los grupos indígenas.
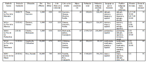
Cuadro 2
Radiodifusoras culturales pertenecientes al Instituto
Nacional Indigenista (ini)
(2002)




Notas: (1) Los datos aportados son teóricos. El área de
cobertura real de las radiodifusoras depende de las condiciones climáticas,
conductividad del terreno, obstáculos en el área de relieve, orografía e
hidrología. (2) Para obtener los totales se tomó en cuenta que existen estados
cuyos municipios y población total
e indígena están bajo cobertura
de una o más emisoras del ini.
Fuente: V Conferencia
Internacional Medios de Comunicación y Procesos Electorales (2002).
Cuadro 3
Estaciones de radiodifusión experimentales de baja
potencia (frecuencia modulada) en Yucatán (2002)

Nota:
(1) La población de
las estaciones de baja frecuencia se encuentran contabilizadas en la cobertura
de la emisora xept.
Fuente: V
Conferencia Internacional Medios de Comunicación y Procesos Electorales (2002).
Cuadro 4
Total de estaciones radiodifusoras culturales
dedicadas a la difusión indígena (2002)

Fuente: V Conferencia Internacional Medios de
Comunicación y Procesos Electorales (2002).
2. El acceso de los
pueblos indios a los medios de comunicación social: acuerdo engañoso
Hoy decimos ¡Basta!
Subcomandante Marcos,
Ejército Zapatista de
Liberación Nacional
Como forma de
respuesta radical a la profunda desigualdad histórica que han sufrido los
pueblos indios en México en todos los ámbitos de sus vidas desde hace cinco
siglos, el 1 de enero de 1994 se levantó en armas el Ejército Zapatista de
Liberación Nacional (ezln)
declarando la guerra al gobierno mexicano y exigiendo la reivindicación urgente
de los derechos indígenas.[1]
Frente a la situación de bárbara
injusticia histórica sobre las comunidades indígenas, el gobierno mexicano y el
ezln,
después de varios años de negociaciones entre sí, firmaron el 16 de febrero de
1996 los Acuerdos de San Andrés Larráinzar, que en esencia plantearon la
construcción de otro pacto social, integrador de una nueva relación entre los
pueblos indígenas, la sociedad y el Estado. Por otra parte, con el fin de
reanudar el diálogo con el ezln,
el 5 de diciembre de 2000 el presidente Vicente Fox envió al H. Congreso de la
Unión la nueva Iniciativa de Reforma de Cultura
y Derechos Indígenas,
y lo propio hizo el 7 de diciembre al Senado de la República (Presidencia de la
República, 2000b).
Dentro de este contexto histórico,
el espíritu de autonomía y dignidad del México
profundo (Bonfil, 1988) expresado a través del movimiento insurgente
del ezln
planteó como horizonte a lo largo de 7 años que las comunidades autóctonas ven
“con esperanza la palabra que se ha alzado de los diferentes pueblos indígenas
y que grita un ¡ya basta! Los
pueblos indígenas de México hemos abierto un camino hacía
la paz, la justicia, la dignidad, la verdad; ahora sólo nos queda mantener
nuestro paso firme y unirnos más como comunidad para lograr nuestra meta: más medios de comunicación en favor del pueblo”
(Acción Social de los Jesuitas en México, 1996).
Es por ello que, en síntesis, en
materia de cultura y acceso a los canales de información, los Acuerdos
de San Andrés Larráinzar y la Iniciativa
de Ley de Reforma de Cultura y Derechos Indígenas formularon en esencia en los puntos 9
y 7 respectivamente, que el Estado mexicano reconoce que “los pueblos indígenas
tienen el derecho a la libre determinación y a la autonomía, como parte del
Estado mexicano [...] para adquirir, operar y administrar sus propios medios de
comunicación” (Gobierno de México, 2001: 91-93 y Presidencia de la República,
2000a).
Este acuerdo se reforzó
políticamente cuando Xóchitl Gálvez Ruiz, Jefa de la
Oficina para el Desarrollo de los Pueblos Indígenas, le planteó al presidente
Vicente Fox Quesada:
las comunidades
indígenas necesitamos tener más espacios en los medios de comunicación para
informar a nuestra gente, para desaparecer ese temor que existe en nuestros
pueblos (Gálvez, 2001a).
Ante esta
demanda, el presidente Fox se comprometió públicamente en la televisión
regional de Chiapas a
hablar con el
Secretario de Comunicaciones y Transportes y con el Secretario de Gobernación
para ver esa posibilidad. Yo no veo que haya mucho problema de que nos
extendamos en tener más participación de radiodifusoras para las comunidades
indígenas, y lo mismo en televisión. Eso se puede hacer y me parece muy
interesante y vamos a apoyarla (Gálvez,
2001a).
Con estos
elementos jurídico-políticos quedaron asentadas las bases de negociación del
pacto social existente entre pueblos indios, Estado y el acceso a los medios de
comunicación entre el ezln
y el Congreso. A pesar de haber transcurrido muchos años de presión y
negociación, es asombroso lo limitado y engañoso de este acuerdo consensuado
entre gobierno y ezln
por las siguientes cinco razones:
1. El reconocimiento del Estado
mexicano de que los pueblos indígenas tienen el derecho a
la libre determinación y a la autonomía para adquirir, operar y administrar sus
propios medios de comunicación
no implica ningún nuevo avance en la lucha de las comunidades autóctonas para
contar con medios de expresión propios, pues son derechos abstractos básicos
que la Constitución Política de los Estados Unidos Mexicanos y la Ley Federal
de Radio y Televisión ya reconoce a todos los ciudadanos mexicanos con mucha
anterioridad al surgimiento del movimiento zapatista, el 1 de enero de 1994.
Así, en primer término, el Artículo 6º de la Constitución mexicana señala que
la
manifestación de las ideas no será objeto de ninguna inquisición judicial o
administrativa, sino en el caso de que ataque a la moral, los derechos de
terceros, provoque algún delito, o perturbe el orden público; el derecho a la
información será garantizado por el Estado (Constitución Política de los
Estados Unidos Mexicanos, 2001: 6-7).
El artículo 7 de
la Constitución consagra que
es inviolable
la libertad de escribir y publicar escritos sobre cualquiera materia. Ninguna
ley ni autoridad puede establecer la previa censura, ni exigir fianza a los
autores o impresores, ni coartar la libertad de imprenta, que no tiene más
límites que el respeto a la vida privada, a la moral y a la paz pública...
(Constitución Política de los Estados Unidos Mexicanos, 2001: 6-7).
En segundo
término, la Ley Federal de Radio y Televisión acepta en el Artículo 58 que
el derecho de
información, de expresión, y de recepción, mediante la radio y la televisión,
es libre y consecuentemente no será objeto de ninguna inquisición judicial o
administrativa ni de limitación alguna ni censura previa, y se ejercerá en los
términos de la Constitución y de las leyes (Ley Federal de Radio y Televisión y
su Reglamento, 2000: 28).
En tercer
término, el artículo 30 del Convenio 169 de la Organización Internacional del
Trabajo (oit)
sobre Pueblos Indígenas y Tribales, firmado por el Senado de la República de
México en 1989, señala en sus incisos 2 y 3 lo siguiente:
los gobiernos
deberán adoptar medidas acordes a las tradiciones y culturas de los pueblos
interesados, a fin de darles a conocer sus derechos y obligaciones,
especialmente en lo que atañe al trabajo, a las posibilidades económicas, a las
cuestiones de educación y salud, a los servicios sociales y a los derechos
dimanantes del presente Convenio. Para tal fin, deberá recurrirse, si fuere
necesario, a traducciones escritas y a la utilización de los medios de
comunicación de masas en las lenguas de dichos pueblos (oit, 1997: 10).
Por este motivo,
dicho acuerdo sólo repite un derecho que ya es propio de cualquier mexicano y
no agrega ninguna garantía, derecho, facultad o mecanismo nuevo para que los
pueblos indios puedan tener sus propios medios de comunicación colectivos, por
consiguiente todo sigue igual.
2. En caso de que se amplíe
políticamente la propuesta y se apruebe la existencia autónoma de medios de comunicación indígenas,
la iniciativa introduciría una grave contradicción de carácter
técnico-jurídico, pues el planteamiento establecería un régimen normativo de
excepción para los pueblos indios, al aceptar la autorregulación total de
éstos, que entraría en oposición con el conjunto de otras leyes, al proponer
que éstos gocen de un derecho extraconstitucional,
por encima del régimen actual de concesiones y permisos que formula la Ley
Federal de Radio y Televisión, al que deben de sujetarse obligatoriamente el
resto de los mexicanos (Warman, 2001: 16-17 y
Noticiario Cúpula Empresarial s.f.).
En consecuencia, la actual
formulación de este punto “deja en la incertidumbre tanto la dotación como la
promulgación de una nueva ley que dote a los pueblos indios de medios de
comunicación y garantice su uso y operación, como estaba establecido en los
Acuerdos de San Andrés. La propuesta de la Comisión de Concordia y Pacificación
(Cocopa) tampoco dice nada en concreto para lograr
que los pueblos indios tengan sus propios medios de comunicación” (fzln, 1998:
5). Por lo tanto, la propuesta es contradictoria e inviable, a menos que se
modifique la actual Ley de Radio y Televisión, lo cual implica una
transformación constitucional de mayor profundidad que rebasaría el marco
actual de la negociación indígena.
3. La actual propuesta reduce su
planteamiento a un derecho ya obtenido por los mexicanos y desconoce todos los
elementos restantes que ha planteado el movimiento zapatista a lo largo de ocho
años para progresar en la creación de un nuevo pacto profundo de relación
comunicativa entre Estado, comunidades indígenas y sociedad global. De esta
forma, el acuerdo desconoce elementos como la elaboración de una nueva ley de
comunicación social que incluya los derechos de los ciudadanos, el
reconocimiento del derecho a la comunicación, la reglamentación del derecho a
la información, la creación del derecho de réplica, la eliminación de los
monopolios informativos, la no privatización de los espacios públicos, la
creación de la figura del Ombudsman de la comunicación, el uso de 12.5% del
tiempo oficial para la participación de los grupos indios, la modificación de
la política de otorgamiento de concesiones de radio y televisión, el
fortalecimiento del modelo de medios de servicio público, el fin de la relación
de contubernio existente entre medios y Estado, la reducción del comercialismo
en los medios, la tipificación como delito a la manipulación y la
desinformación de la opinión pública, la supresión de las expresiones sexistas
y racistas del lenguaje, mayor autonomía de participación de las comunidades
indígenas en las radiodifusoras indígenas, etcétera.
4. La iniciativa de ley tampoco
considera un mecanismo financiero elemental para que los pueblos indios puedan
adquirir sus propios medios de comunicación o la compra de espacios de
expresión dentro de éstos, sino que deja el ejercicio de ese derecho a la
capacidad económica de las comunidades indias. Esto significa que dicha
garantía constitucional será casi imposible de aplicar a los sectores
indígenas, pues la casi totalidad de las comunidades autóctonas viven en la
miseria, la marginación y el hambre, sin contar con recursos para destinarlos a
este fin, que exige grandes inversiones económicas.
5. Finalmente, la propuesta tampoco
incluye procedimiento concreto u operativo alguno para permitir la integración
de los indígenas dentro de la actual estructura de canales de información
nacionales. Continúa dejando fuera o en el vacío a la participación de los
pueblos indios en los medios de comunicación.
Al parecer, a principios del siglo xxi y del
nuevo gobierno de transición democrática, en el terreno de la comunicación se
sigue sin contar con la suficiente voluntad política por parte del Poder
Ejecutivo para encontrarle la cuadratura al
círculo y permitir
que la sociedad mexicana cuente con los derechos universales básicos en materia
de información.
Lo más asombroso de esta situación
es que la casi totalidad de la opinión publica
nacional, incluyendo a la inteligencia y al periodismo críticos, centró su
atención en los aspectos frívolos y secundarios del proceso y la marcha
zapatista y no en la discusión o enriquecimiento profundo de las propuestas
presidenciales enviadas al Congreso de la Unión para ser negociadas con el ezln en materia
de comunicación social. Así, la atención giró alrededor de si los
zapatistas vienen a negociar con máscara o sin máscara; cómo se comportó Marcos en la
entrevista con el comediante Ponchito; el estreno del presidente Fox como
conductor radiofónico en el programa Fox en Vivo, Fox Contigo para entrevistar a los representantes
indígenas (Presidencia de la República, 2001); las características que tuvo el Concierto
por la Paz o Chiapatón que organizaron Televisa y Televisión
Azteca; los comerciales televisivos que la empresa Viana realizó para vender
productos electrodomésticos con imágenes de Marcos, el Comandante
Tacho y el ezln;[2] y
no en el análisis del punto 9 de los Acuerdos de San Andrés o del punto 7 de la Iniciativa
de Ley de Reforma de Cultura y Derechos Indígenas para la reivindicación histórica de
los indígenas.
Algo sumamente grave y profundo
sucedió en la conciencia nacional, pues ante un hecho histórico trascendente en
materia de derecho a la información (quizás el más importante en los últimos
treinta años), ni el periodismo crítico, ni los partidos políticos, ni las
organizaciones no gubernamentales, ni las escuelas de comunicación, entre otros
actores, asimilaron dicha situación desde un ángulo crítico o analítico, y
también quedaron hipnotizados por el gran glamour y poder mediático regenerador de los medios de difusión que creó un
ambiente de paz virtual en technicolor. Cuando más, sólo algunos analistas
políticos criticaron tangencialmente la realización del Concierto
por la Paz (Vértiz, 2001a: 86-87 y Toussaint,
2001a:83-84) o
la entrevista concedida por el presidente Fox a
Ponchivisión;
la difusión espectacular de la Caravana de la Dignidad (Toussaint,
2001b: 84 y Solórzano, 2001: 26) o la manipulación de algunas imágenes
de la marcha zapatista, pero no reflexionaron sobre lo
fundamental: ¿Cómo lograr que las comunidades indígenas accedan a los medios de
información colectivos para transmitir su otra versión de la vida y de la
historia?
Con la realización del Concierto
por la paz y la manipulación
de algunas transmisiones televisivas por parte de Televisa y Televisión Azteca,
se creó en la opinión pública nacional un clima de presión social para que el
zapatismo quedara políticamente acorralado para firmar los Acuerdos de San
Andrés tal y como están, sin poder negociar nuevas condiciones favorables para
los indígenas. La estrategia informativa de los monopolios de la comunicación
prepararon a la opinión pública para acusar de intolerante, infantil,
caprichoso, payaso, narcisista, etcétera, al Subcomandante Marcos y al ezln, en caso
de no aceptar las condiciones de la paz.
Así, podemos decir que gradualmente
el poder mediático de los medios de información se apoderó de la fuerza
simbólica del ezln,
lo convirtió en espectáculo, lo descontextualizó, lo canalizó hacia sus
intereses, hipnotizó una vez más a la sociedad y abortó la reflexión y
discusión sobre el acceso de los pueblos indios a los medios de comunicación.
En una idea: convirtió al movimiento indígena insurgente del ezln en una mercancía
informativa más del consumo cultural masivo
posmoderno, que fue
desechada cuando ya no registró raiting
y fue cambiada por
otros hechos coyunturales mercadológicamente más
rentables.
Esta realidad es una prueba más de
cómo la cultura idiota, a partir de la agenda
setting
que generan los medios de comunicación, nos ha hecho olvidar lo principal, con
el fin de que nuestra conciencia gire alrededor de lo secundario, lo
anecdótico, lo frívolo, lo descontextualizado o lo terciario. Es la
reproducción ampliada del alzhaimer
cultural en el ámbito
nacional y el avance de la cultura light en los medios de información social.
Con el apoderamiento del mito y la
simbología del ezln
por parte de los medios de información colectivos, el movimiento libertario del
ezln
pasó en unas semanas de ser noticia para convertirse en una mercancía más del
consumo cultural de masas.
Toda esta asombrosa realidad
contradictoria en México muestra, por una parte, que la cultura colectiva
generada por los medios de información seguirá siendo unidimensional y
occidentalizada, y no multi y pluricultural,
pues los 62 pueblos indígenas, con sus 62 lenguas diferentes y sus 30 variantes
(en total 92 lenguas distintas) (Gálvez, 2001a), seguirán sin participar o
aportar su cosmovisión dentro del espectro de la cultura de masas. Con ello, el
modelo de comunicación-mercado que hoy domina en la comunicación colectiva
continuará fortaleciendo los parámetros de la cultura
idiota que tanto ha
erosionado mental y espiritualmente a nuestro país y no al modelo de servicio
público que le urge a nuestro horizonte
cultural nacional para sobrevivir. Por otra parte, muestra que el resto de los
acuerdos logrados por el ezln
frente al Estado federal en materia de autonomía, derechos humanos,
sustentabilidad, libre determinación, plurietnicidad,
autogobierno, especificidades culturales, participación y representación
política, protección a migrantes étnicos, formas de organización, uso y
disfrute de los recursos naturales, preservación de sus lenguas, impulso a sus
culturas, satisfacción de necesidades básicas, entre otras demandas de los
pueblos indígenas se encuentran en condiciones muy frágiles de consolidación,
pues para garantizarlos, a mediano y largo plazos, se requiere contar con una
sólida base de poder para defenderlos. Hoy en día, al inicio del siglo xxi en México,
el acceso al primer poder se deriva del acceso a los medios de comunicación
colectivos. Si no se cuenta con acceso a la estructura de información,
difícilmente se pueden defender otras conquista sociales ya obtenidas.
Por esta razón, en cuanto a la
realización del derecho a la información de los
indígenas, ahora
resulta indispensable y urgente que el ezln y la sociedad civil abran
los ojos y elaboren
nuevas propuestas políticas, jurídicas, económicas y culturales, a nivel
conceptual y operativo, para pactar e implantar, de manera real y no retórica,
los acuerdos de San Andrés Larráinzar y la nueva
Iniciativa de Ley Sobre Cultura y Derechos Indígenas en México. En este
sentido, es fundamental retomar el espíritu de dignidad y autonomía planteado
por las comunidades autóctonas en el iii Congreso Nacional Indígena, que en cuanto al
acceso indio en los medios de difusión planteó
la apropiación
y acceso Constitucional de los Pueblos Indios a los medios de comunicación
[...] para difundir nuestra cultura, tradiciones y hacer escuchar nuestra
palabra... (iii
Congreso Nacional Indígena, 2001: 4-9).
En consecuencia,
en materia de comunicación colectiva es necesario romper
la cuadratura del círculo
que tradicionalmente ha argumentado el gobierno federal para evitar
democratizar el sistema de comunicación nacional. De lo contrario, en el campo
de la comunicación social de muy poco habrá servido el levantamiento armado, el
monumental sacrificio indio y el derramamiento de sangre que el ezln ha
realizado durante nueve años, pues todo continuará igual: contrariamente al
lema del levantamiento zapatista: ¡Nunca más un México sin nosotros!, los indígenas seguirán sin voz y el
proyecto planetario de globalización mundial continuará creando un México
posmoderno, sin la presencia de los indígenas.
3. Propuesta: reforma
del Estado mexicano, transformación del pacto social y participación indígena
en los medios de comunicación
Hacia una reforma agraria del aire
Diálogo de Sacam Ch’en de los Pobres
Para ciudadanizar los medios de información en México y
crear algunas formas de participación de los grandes grupos sociales en éstos,
especialmente de los indígenas, es indispensable modificar de el viejo y
desequilibrado pacto social existente entre el Estado mexicano, los medios de
comunicación y la sociedad, que sirvió de base para consolidar durante setenta
años al decadente régimen político anterior. Ahora es necesario construir,
mediante la reforma del Estado, una nueva relación democrática, plural,
equilibrada y abierta que permita que los ciudadanos participen colectivamente
a través de los medios de comunicación, para contribuir en la construcción y el
enriquecimiento del espectro político-cultural de nuestra nación y crear una
nueva cultura civilizatoria superior que nos permita sobrevivir en nuestro
país.
Debemos reconocer que “la reforma
del Estado en materia de comunicación, no es una reforma jurídica más para
modernizar al Estado mexicano; sino que por su naturaleza vertebral que cruza
todos los ámbitos de la vida comunitaria y cotidiana, es la reforma más
importante de la sociedad mexicana de principios del siglo xxi, pues será a partir de esta
renovación como se determinarán las vías que modificarán o no los procesos para
construir la conciencia colectiva nacional de final de milenio. De ello
dependerá si se crean las bases político-sociales para generar una conciencia
para el avance de la República o para su retroceso mental, social y
civilizatorio en el nuevo milenio” (Esteinou, 2002).
La transformación de la estructura
de comunicación nacional es un proceso muy complejo que requiere la
participación no sólo del Estado, sino de muchos otros sectores de la sociedad
en diversos planos de acción. Por ello, para avanzar en la reforma del Estado
mexicano en materia de comunicación y construir una nueva
política nacional de comunicación,
particularmente para la participación de los pueblos indios, se deberán
contemplar y realizar, entre otras, las siguientes acciones de transformación
de la estructura informativa en el plano político, legislativo, civil y
académico.
3.1 En el plano
político
1. El Estado debe
rescatar su función rectora en el campo de la comunicación frente a la dinámica
salvaje que han alcanzado las fuerzas del mercado en este terreno, para
construir un nuevo proyecto de comunicación nacional basado en la participación
de la sociedad, especialmente de las comunidades indígenas, que han sido
históricamente marginadas de los medios de comunicación.
Para ello es necesario que se
replanteen las bases del pacto social de comunicación entre el Estado, los
medios de información y la sociedad civil, con el fin de orientarlo hacia un
nuevo acuerdo tripartita de participación colectiva, con incidencia privilegiada
de la sociedad civil y que equilibre el actual funcionamiento desigual entre
estos sectores. En la conformación de este nuevo pacto social debe ocupar un
lugar destacado la presencia de los grupos indígenas.
2. Para avanzar
en la consolidación de este nuevo pacto comunicativo, es imperativo que el
Estado fortalezca y amplíe el esquema de medios de comunicación de servicio
público, a través de las siguientes dos vías:
i. El aumento directo de financiamiento por
parte del Estado a sus medios públicos para ampliar su infraestructura técnica,
material, informativa y salarial. Dentro de esta nueva recapitalización,
deberán tener preferencia el apoyo a los proyectos de participación
comunicativa de la sociedad civil, preferencialmente de las etnias indígenas.
ii. El
uso intensivo de 12.5% del tiempo oficial que legalmente ya le corresponde al
Estado mexicano en los espacios de programación de los medios privados. Para
alcanzar esto, se propone aprovechar una porción de dicho tiempo en todos los
medios comerciales privados, para formar una amplia franja de información de
Estado de servicio público que permita la participación de los sectores
sociales, especialmente grupos indígenas organizados. Esto significaría contar
dentro de la propia estructura de los medios comerciales privados con un gran
frente de medios de servicio público, con alta penetración y un mínimo de
inversión del Estado y de la sociedad.
3. Con el fin de
ejercer su función de rector nacional y equilibrar el funcionamiento del modelo
desigual de comunicación de mercado que tantas alteraciones mentales ha
producido en la cultura nacional, se requiere terminar con la distribución
discrecional de los tiempos oficiales, legales, fiscales y electorales del
Estado en radio y televisión, y exigir su uso transparente y equitativo que
permita, a través de éstos, la participación de los principales grupos
sociales, particularmente indígenas (iii Conferencia
Internacional de Medios de Comunicación y Procesos Electorales, 2000: 300).
Para ello, se proponen, entre otros, los siguientes mecanismos:
i. Que la Comisión de Radio, Televisión y
Cinematografía (rtc)
de la Cámara de Diputados y de la Cámara de Senadores de la xlviii Legislatura, junto con
representantes de la sociedad civil organizada, incluyendo privilegiadamente a
los indígenas, vigilen sistemática y rigurosamente el otorgamiento de dichos
espacios.
ii. Que
el actual Consejo Nacional de Radio y Televisión, reconocido por el Artículo 90
de la Ley Federal de Radio y Televisión y que tiene la responsabilidad de
“elevar el nivel moral, cultural, artístico y social de las transmisiones” (Ley
Federal de Radio y Televisión y su Reglamento, 2000: 36-37), añada entre sus
miembros a dos representantes de los grupos indígenas de la República, dos
representantes del sector académico y dos representantes de la sociedad civil
organizada, para supervisar, con base en la legislación existente, el correcto
funcionamiento de los medios de información en México.
4. El Estado debe
abrir la participación de la sociedad civil organizada, particularmente
indígenas, en los tiempos oficiales, ya que son espacios nacionales que se
otorgan en las concesiones que la sociedad en su conjunto le delega al Estado
para que éste los administre con base en el bien común. En este sentido, es muy
importante puntualizar que en la medida en que los grupos y organizaciones
sociales cuenten con tiempos en los medios de comunicación electrónicos, se
evitará la presencia de tantas manifestaciones callejeras que todos los días
suceden en las principales ciudades del país, generando considerables pérdidas
económicas, cierre provisional de empresas y comercios, destrucción de bienes,
caos vial, ingobernabilidad, anarquía urbana, irritación ciudadana, aumento del
stress y
pérdida de la calidad de vida de la población. La sociedad
toma permanentemente las calles del país por no tener espacios de expresión en
los medios de difusión colectivos.
Para ello, se propone destinar en
todos los medios de servicio público del Estado (Canal 22, Canal 11, Instituto
Mexicano de la Radio, Radio Educación, Sistemas Estatales de Radio y
Televisión, radiodifusoras universitarias, etcétera) un espacio cotidiano de
programación radiofónica y televisiva plural donde los grupos indígenas del
país difundan sus intereses, necesidades y aportaciones culturales. Con esto se
podrá rescatar y preservar la cultura y la memoria histórica de los pueblos
indígenas de nuestra nación como parte del derecho a la información consagrado
en la Constitución mexicana.
5. De manera específica,
para incrementar la participación local de los pueblos indios a través de los
medios de comunicación, el Estado deberá seguir las siguientes estrategias:
i.
Siendo que actualmente en el país existe una población de más de diez millones
de indígenas, “con 62 tipos étnicos diferentes y con 62 lenguas diferentes con
30 variantes (estamos hablando de 92 lenguas diferentes)” (Gálvez, 2001a: 2),
se deberá aumentar significativamente la existencia del número de
radiodifusoras indígenas dependientes del Instituto Nacional Indigenista (ini, 2000).
ii. Apoyar sustancialmente en todos los
niveles a las radiodifusoras indígenas ya existentes, para que puedan
consolidar sus proyectos de apoyo al desarrollo de las comunidades campesinas e
indígenas.
iii. Otorgar mayor autonomía a las
radiodifusoras indígenas para que se vinculen más libremente con sus
comunidades y representen con mayor fidelidad la dinámica de sus vidas y no
sólo los intereses de la política centralista del poder federal.
iv. Apoyar la consolidación de las
escuelas radiofónicas reconocidas en el capítulo vi de la Ley Federal de Radio y Televisión, para que
contribuyan al desarrollo de los grupos indígenas.
6. Es necesario
promover la creación de órganos plurales con participación de la sociedad civil
en la vigilancia de la normatividad relacionada con el funcionamiento global de
los medios de comunicación (Asociación Mexicana del Derecho a la Información,
2000). En la integración de todos estos órganos democráticos deben estar
presentes los representantes de los grupos indígenas. Con ello se contribuirá a
rescatar y ampliar los pocos espacios que se han dedicado a la difusión y
construcción de valores plurales y cívicos a través de los medios de
comunicación de masas, y proponer alternativas para impulsar la edificación de
una cultura cívico-democrática más madura en nuestro país.
Para ello se propone que en todos
los medios de servicio público del Estado se formen consejos consultivos, cuya
función sea contribuir a definir la programación y a supervisar el
funcionamiento de los mismos. Dichos consejos deben estar integrados por
destacados miembros de la sociedad civil, dentro de los cuales deberán existir
por lo menos dos representantes de los grupos indígenas del país.
3.2 En el plano
legislativo
1. Es imperativo
elevar a rango constitucional el acceso a la información y a la comunicación
como un bien y un derecho público al cual han de acceder todos los mexicanos,
particularmente los grupos indígenas.
2. Es
indispensable que se actualice el contexto jurídico amplio de las leyes sobre
comunicación social para adaptarla a los desafíos de la sociedad nacional del
siglo xxi.
Para ello es muy conveniente que el actual Congreso de la Unión retome el
espíritu del proyecto de Ley Federal de Comunicación Social y el Proyecto de
Ley Reglamentaria de los Artículos 6 y 7 Constitucionales en materia de
Libertad de Expresión y Derecho a la Información preparado por la Comisión de
Radio, Televisión y Cinematografía (rtc) de la xlvii Legislatura del Congreso, para discutirlo,
perfeccionarlo y proponer una nueva iniciativa de ley de comunicación social.
En este proyecto deberá existir un
apartado especial que garantice la participación de los pueblos indios con
todos sus derechos en los medios de comunicación.
3. Es
indispensable que se discuta en el Congreso de la Unión los criterios de
renovación y evaluación de las concesiones de radio próximas a vencer, para
proponer el otorgamiento de una de ellas a los diversos grupos indígenas
organizados que existen en el país.
Hay que recordar que las concesiones
de televisión que están próximas a vencer son las que se muestran en el cuadro
5.
Cuadro 5
Vencimiento
de concesiones de televisión en el Distrito Federal

*No se obtuvo información precisa.
Fuente: Periódico Milenio Semanal, núm. 152, México, 7 de agosto
de 2000. Sitio Internet: <http://www.milenio.com/frame.asp?url>
4. Se necesita
garantizar el derecho de réplica en todos los medios de comunicación como una
garantía constitucional elemental (Asociación Mexicana del Derecho a la
Información, 2000: 5-6), especialmente de las comunidades indígenas que no
cuentan con ningún medio propio para expresarse. Para ello se debe dotar a las
comunidades indígenas de espacios de participación periódica en los canales de
difusión.
5. Es necesario
crear una legislación específica sobre radiodifusoras y televisiones
comunitarias de tal manera que permita la participación directa de los
indígenas. La legislación sobre radiodifusoras comunitarias debe contemplar,
por lo menos, las siguientes características:
i. Debe crearse la figura jurídica de radio
comunitaria por una ley federal, de manera separada de la Ley Federal de Radio
y Televisión, debido a razones de viabilidad legislativa. En caso de que ello
no sea posible, habrá de incorporarse la figura de radiodifusoras comunitaria
en este último ordenamiento legal.
ii. Dicha
ley debe crearse bajo la figura de permiso, dotado de características
especiales, de tal suerte que asegure un servicio social irrestricto que
propicie en su función el desarrollo de toda la sociedad.
iii. El
permiso debe ser otorgado por la Secretaría de Comunicaciones y Transportes,
por acuerdo del Consejo Nacional para la Radio Comunitaria, que funcionará con
el fin de garantizar imparcialidad, neutralidad y eficiencia en los procesos de
asignación de frecuencias. Este consejo deberá estar compuesto en forma
tripartita por representantes de las organizaciones sociales y civiles
dedicadas fundamentalmente al ámbito de la comunicación y los derechos humanos,
por organizaciones académicas, y por la Secretaría de Educación Pública, como
representante de la parte gubernamental.
iv. Los
titulares de los permisos de radio comunitaria deben ser personas morales,
integradas por representantes designados por la comunidad en forma plural y
democrática. Serán causales de exclusión para pertenecer a una sociedad
permisionaria:
·
Desempeñarse como servidor público o ser miembro de cualquier jerarquía
eclesiástica;
·
Ser o haber sido en los últimos cinco años personal directivo de una
empresa privada de radio y/o televisión;
·
Ser representante oficial de algún partido político.
v. Debe establecerse un sistema tripartito de
financiamiento para las radiodifusoras comunitarias, integrado de la siguiente
forma:
· Una dotación municipal, estatal y
federal.
· Ingresos por patrocinios;
·
Ingresos por donativos nacionales e internacionales, exentos de
impuestos.
vi. Toda empresa permisionaria como radio
comunitaria debe contar con un estatuto que establezca:
·
Declaración de principios de quienes laboran en la radio comunitaria;
·
Declaración de derechos y obligaciones de los usuarios, los
comunicadores, los directivos y los patrocinadores de la radio comunitaria.
vii. La
banda de operación, la frecuencia y la potencia de transmisión se determinarán
atendiendo a las características geográficas de cada zona, garantizándose en
todo caso que éstas aseguren la cobertura de la radio comunitaria en la zona
establecida.
viii. Deben
garantizarse fórmulas concretas de acceso ciudadano a la programación de la
información, las cuales deberán ser plurales, diversas y tolerantes, y de
ninguna manera restrictivas.
ix. Deben
establecerse mecanismos concretos para el debido respeto de los derechos de la
personalidad y del derecho de réplica, de tal manera que se garantice que en
las radiodifusoras comunitarias todo aquel ciudadano que se sienta afectado por
una información cuente con un espacio asegurado, con las mismas características
y tiempo que aquel en que se le increpó.
x. La radiodifusora comunitaria debe estar
exenta del pago de los derechos correspondientes a los tiempos del Estado, por
su naturaleza especial y debido a que su programación es de servicio social y
cultural.
xi. Las radiodifusoras comunitarias estarán en
libertad de organizarse corporativamente como mejor les convenga para el total
cumplimiento de sus funciones.
xii. El
Estado debe garantizar a las radiodifusoras comunitarias su acceso individual y
corporativo a sistemas de difusión satelital, público o privado, y a cualquier
nueva tecnología, para establecer cadenas regionales, estatales, nacionales e
internacionales para alcanzar eficazmente el cumplimiento de sus funciones.
xiii. La
programación de las radiodifusoras comunitarias debe ser congruente con sus
fines.
xiv. Los
requerimientos técnicos y de infraestructura por parte de la Secretaría de
Comunicaciones y Transportes para autorizar el permiso de funcionamiento de una
radiodifusora comunitaria no deben ser restrictivos, considerando su potencial
económico y social.[3]
3.3. En el plano de
la sociedad civil
1. Con apoyo de
los sectores indígenas, se debe formar un frente cívico nacional de naturaleza
plural y amplia que concentre a las principales organizaciones, movimientos e
instituciones que han trabajado en los últimos años por la transformación del
sistema de comunicación nacional, con el fin de que presionen políticamente
para que se logre la aplicación del derecho a la información y la
democratización de los medios de difusión en nuestro país. La primera acción de
dicho frente deberá ser la organización de un Congreso Nacional de la Sociedad
Civil para discutir con el Estado y el Poder Legislativo la renovación del
vencimiento de las próximas concesiones de televisión y la distribución del
nuevo espacio radioeléctrico en el país.
En este evento se deberán
considerar, con especial atención, las propuestas de los grupos indígenas sobre
los medios de comunicación y cultura presentadas en los acuerdos de San Andrés Larráinzar, para incorporarlas a la propuesta global.
2. Las
comunidades indígenas deben exigir permanentemente a sus legisladores
representantes en el Congreso de la Unión que presionen legislativamente para
ser incluidos dentro de la legislación del derecho a la información.
3. Los sectores indígenas
deben exigir a los partidos políticos que incluyan en sus plataformas
ideológicas acciones concretas para la democratización de los medios de
difusión, con el fin de que estos sectores puedan participar colectivamente a
través de dichas tecnologías.
4. La sociedad
civil organizada debe exigirle al Estado mexicano que cumpla internamente con
los contenidos de los acuerdos que ha firmado en el ámbito internacional en el
campo de la comunicación y la cultura, especialmente para permitir la expresión
pluricultural de las comunidades indígenas. Esta
realidad ofrece un enorme respaldo jurídico para avanzar en el proceso de
pluralidad de las estructuras de comunicación y en el reconocimiento de
derechos sociales informativos, pues ética y jurídicamente no se pueden
adquirir compromisos internacionales y no aplicarlos nacionalmente.
5. Tomando en
consideración que los medios de difusión se otorgan por concesiones, la
sociedad civil debe exigir al nuevo gobierno que el Estado mexicano otorgue a
la sociedad civil organizada una de las tres frecuencias reservadas al Estado y
nuevos espacios en la ampliación del espectro electromagnético, para construir
medios y franjas de información ciudadanas. Dentro de esta frecuencia, los
pueblos indios deben tener un espacio de participación privilegiado.
6. Las
comunidades indígenas deben presentar sistemáticamente a la Comisión de Radio,
Televisión y Cinematografía (rtc)
de las cámaras de diputados y senadores las conclusiones que se deriven de cada
foro local, regional o nacional sobre la democratización de la comunicación y
la aplicación del derecho a la información en su favor, y solicitar que éstas
se tomen en cuenta en la formación de las políticas nacionales de gobierno.
3.4 En el plano
académico
1. Los gobiernos
municipales del país, especialmente del estado de Chiapas, deberán establecer
convenios de capacitación en comunicación con las escuelas de información
regionales, para que los grupos indígenas produzcan sus propios mensajes
radiofónicos con base en sus necesidades de desarrollo.
2. Se deberán
apoyar ampliamente a las escuelas radiofónicas, en todos sus niveles, para que
éstas capaciten a los grupos indígenas en la generación de sus propios mensajes
a partir de los intereses y necesidades de crecimiento y superación de sus
comunidades.
4. Conclusiones
Pensamos que con
la consideración y aplicación de estas políticas informativas se podrán
producir contextos más humanos para las etnias que los que ahora nos enmarcan
en el país. De no transformar esta tendencia comunicativa salvaje, en el nuevo
siglo tendremos en México centros y regiones económicas más interrelacionadas
con la globalización, con más máquinas inteligentes, con mayores inversiones
extrajeras, con más centros de información, con mayor incorporación de nuestra
economía a los procesos de globalización, con más edificios modernos, con más
automóviles, con más súper-carreteras, con nuevos centros de consumo, etcétera;
pero también tendremos en el país conglomerados de comunidades humanas, especialmente
indígenas, más destruidas que las que ahora conocemos, debido a la ausencia de
una cultura cívico-democrática.
Por ello formulamos que el colaborar
ahora desde los medios de comunicación y otras infraestructuras culturales para
crear una base cultural de valores democráticos, ciudadanos y pluriculturales que rescaten la riqueza de las
cosmovisiones indígenas no es romanticismo, ni mesianismo, ni voluntarismo
político; sino exigencias elementales que se deben realizar para nuestra
sobrevivencia humana como nación diversa. Si no actuamos hoy a través de los
medios de comunicación transformando nuestras mentalidades para estar más
conscientes de nuestros problemas nacionales y de nuestras alternativas de
solución como nación, en el siglo xxi construiremos una sociedad enormemente más
inhumana e inhabitable que la que ahora enfrentamos. Hoy en día los medios de
comunicación tienen que ofrecer alternativas a los grupos indígenas como
miembros de la nación del nuevo milenio.
Finalmente, para avanzar en la reforma
del Estado mexicano en materia de información y construir una nueva
política de comunicación nacional
que rescate la presencia de los sectores indígenas se requiere, en primer
término, la edificación de un nuevo orden comunicativo
nacional, que supere
el viejo modelo de información que no le da viabilidad al país, pues es un
proyecto excluyente y no incluyente de las mayorías sociales y evita la
maduración y el avance de nuestra sociedad, especialmente étnica. En segundo
término, para construir el nuevo orden comunicativo es necesario que el Estado
rescate su función rectora en el campo de la comunicación que ha abandonado o
renunciado a ejercer desde hace algunas décadas, para delegarla a las fuerzas
del mercado o a los grandes intereses políticos y privados. Ahora se requiere
armar un nuevo proyecto de comunicación nacional basado en la participación de
las comunidades, especialmente indígenas, que equilibre la dinámica salvaje que
han alcanzado las fuerzas del mercado en el terreno de la cultura y la
información. Y en tercer término, para concretizar este nuevo
orden comunicativo se
deberá elaborar un moderno marco normativo que delimite las vías equilibradas
para que el espacio público que construyan los medios sea de naturaleza abierta
y no cerrada, competitiva y no monopólica, incluyente y no excluyente,
particularmente de los pueblos indios.
Sintetizando, podemos decir que, de
no diseñarse las políticas de comunicación de los medios de información
nacionales desde la perspectiva del reconocimiento y la resolución de los
principales conflictos que obstaculizan el crecimiento de los grupos
fundamentales del país –particularmente de los indígenas–, se volverá a vivir
la profunda contradicción existente entre la cultura y comunicación nacional y
el proyecto de desarrollo global que se ha arrastrado en las últimas décadas.
Cada uno se disparará por senderos distintos: la cabeza social avanzará por un
lado y el cuerpo por otro, aumentando rápidamente, con ello, la descomposición
de la sociedad mexicana.
No podemos olvidar que la
construcción de la nueva sociedad que demanda el México
Profundo del siglo xxi, que ya se ha manifestado radicalmente
a través de los levantamientos populares, requiere la producción de un nuevo
eje cultural; y éste creemos que deberá girar en torno a la renovación de los
medios de comunicación nacionales, especialmente de la televisión.
Bibliografía
iii Conferencia
Internacional Medios de Comunicación y Procesos Electorales (2000),
“Diagnóstico y propuestas para la comunicación social del 2000”, Cámara de
Diputados, Comisión de Radio, Televisión y Cinematografía, xlii Legislatura, Fundación
Konrad Adenauer Stiffung, Universidad Iberoamericana,
Universidad Autónoma Metropolitana, Federación Latinoamericana de Facultades de
Comunicación Social, Consejo Nacional Para la Enseñanza e Investigación de las
Ciencias de la Comunicación y Asociación Mexicana de Derecho a la Información,
julio, México.
iii
Congreso Nacional Indígena (2001), “Acuerdos Resolutivos del III Congreso
Nacional Indígena, Mesa núm. 2-A y Mesa núm. 3”, Comunidad
indígena de Nurío, municipio de Michoacán (2 al 4 de marzo del 2001),
Michoacán, documento web: <http://www.laneta.apc.org/cni/3cni.htm>.
v Conferencia
Internacional Medios de Comunicación y Procesos Electorales (2002), “Los medios
electrónicos en el marco de la reforma del Estado”, H. Cámara de Diputados (xliii Legislatura), Comisión de Comunicaciones y Transportes, Senado de la
República, Fundación Konrad Adenauer Stiffung,
Universidad Iberoamericana, Universidad Autónoma Metropolitana Xochimilco,
Palacio Legislativo de San Lázaro, mayo, México.
Acción Social de
los Jesuitas en México (1996), “La palabra. Derecho a los medios de
comunicación y de una información verdadera, Derechos humanos. Derechos de los
pueblos indios. Acuerdos del Congreso Nacional Indígena”, (8 al 15 octubre), Nunca
más un México sin nosotros, Congreso Nacional Indígena, México, Página web de Acción Social
de los Jesuitas en México: <http://www.
sjsocial.org/folletos/f_comu.htm>.
Aguirre Beltrán,
Gonzalo (1983), Lenguas vernáculas, su uso y
desuso en la enseñanza: la experiencia de México, Secretaría de Educación Pública,
Ediciones de la Casa Chata 20, México.
Asociación
Mexicana del Derecho a la Información (2000), Objetivos
centrales. Documento Base,
Asociación Mexicana del Derecho a la Información, enero, México.
Bodley, John H., (1982), Victims of progress, Mayfiel Publishing Company, Palo Alto.
Bonfil, Guillermo (1988), México
Profundo: una civilización negada,
Secretaría de Educación Pública, México.
cemefi (2000),
“Propuestas para garantizar el acceso de la sociedad civil a la información y
la comunicación”, en Mesa de diálogo de las
organizaciones de la sociedad civil con el equipo de transición del presidente
electo Fox en las áreas social y política. Definición y propuestas para
garantizar el acceso de la sociedad civil a los medios de comunicación.
Elaboración de políticas públicas de comunicación (primera versión), noviembre, Centro
Nacional de Comunicación Social (cencos), México, documento web:
<http://www.cemefi.org/dialogos/documentos/comunicación.cfm>.
Constitución Política de los Estados Unidos Mexicanos (2001), Editorial Sista,
México.
Díaz Polaco,
Héctor (1991), Autonomía regional. La
autodeterminación de los pueblos indios, Siglo xxi Editores, México.
Díaz Polaco,
Héctor y Gilberto López Rivas (comps.) (1986), Nicaragua:
Autonomía y Revolución,
Juan Pablos Editor, México.
Esteinou Madrid, Javier (2002), “Diagnóstico y
propuestas para la democratización de los medios de comunicación en México” en Seminario:
“La Propiedad de los Medios y el Acceso Ciudadano en América Latina, Asociación Mundial para la
Comunicación Cristiana, Observatorio Ciudadano de los Medios de Comunicación,
Academia Mexicana de Derechos Humanos, Alianza Cívica, Asociación Mexicana por
el Derecho a la Información, Comunicadores por la Democracia, Consejo de
Educación de Adultos para América Latina, noviembre, México.
Florescano, Enrique (2001), Etnia,
Estado y Nación. Ensayo sobre las identidades colectivas en México, Taurus,
México.
fzln (Frente
Zapatista de Liberación Nacional) (1998), Material de
estudio para la Consulta Nacional Sobre la Iniciativa de Ley Indígena de la
Comisión de Concordia y Pacificación y por el Fin de la Guerra de Exterminio, Frente Zapatista de Liberación
nacional, San Cristóbal Las Casas, Chiapas, documento web:
<http://www.fzln.org.mx/archivo/dialogo/consulta/material.de.estudio.htm>.
Gálvez Ruiz, Xóchitl (2001a), Entrevista con representantes
indígenas, Centro Cultural
El Carmen, Televisión Regional de Chiapas, San Cristóbal las Casas, Chiapas, 17
de enero, Página Internet de la Presidencia: <http://www.
presidencia.gob.mx/?Orden=Leer&Tipo= DI&Art=319>.
Gálvez Ruiz, Xóchitl (2001b), Programa Fox en vivo, Fox contigo, Cámara Nacional de la Radio y
Televisión y Grupo acir,
versión estenográfica, México, p. 2, Página Internet de la Presidencia de la
República, <http://www. presidencia.gob.mx/?P=16&Orden=Leer&Tipo= DI&Art=344>.
Giménez,
Gilberto (2000), “Identidades étnicas: estado de la cuestión”, en Leticia Reina
(coord.), Los retos de la etnicidad en los estados-nación del
siglo xxi, ciesas, ini, Miguel Ángel Porrúa, México.
Gobierno de
México (2001), “Acuerdos de San Andrés Larráinzar”,
en: Chiapas con justicia y dignidad. Memoria de acuerdos,
compromisos, acciones y obras, coordinación para el diálogo y la negociación en
Chiapas, noviembre,
México.
ini
(Instituto Nacional Indigenista) (2000), Estatuto
orgánico del Instituto Nacional Indigenista, México, Instituto Nacional Indigenista, (11/12/2000),
documento web: <http://www.ini.gob.mx/presenta.html>
Katz, Friedrich
(comp.), (1990), Revuelta,
rebelión y revolución: la lucha rural en México del siglo xvi al siglo xx, t. ii, Era, México.
Kohn, Hans (1992), Historia
del nacionalismo,
Fondo de Cultura Económica (1949), Organización de las Naciones Unidas, Carta
de la Tierra de los Pueblos Indígenas, aprobada en la conferencia de Kari Oca, mayo, México.
Ley Federal de Radio y Televisión y su Reglamento (2000), Comisión de Radio Televisión
y Cinematografía (rtc),
Cámara de Diputados, lvii
Legislatura, México.
Milenio Semanal (2000), núm. 152, 7 de agosto, México, Página web:
<http://www.milenio.com/frama.asp?url>.
Noticiario
Cúpula Empresarial (s.f.), “Renovación del pri,
Entrevista con Francisco Labastida Ochoa”, 22 de febrero, 1ª Edición, México.
oit (Organización
Internacional del Trabajo) (1997), “Convenio sobre pueblos indígenas y
tribales, Organización Internacional del Trabajo (oit), ilolex”, en Base
de datos sobre normas internacionales del trabajo, México, documento web:
<http://ilolex.ilo.ch:1567/public/spanish/50normes/infleg/ilospa/index.htm> y
<http://www.fzln.org.mx/dialogo/convenio.169.htm> (19/3/1997).
Presidencia de
la República (2000a), Iniciativa de Ley de Reforma
Sobre los Derechos y Cultura Indígena
(5 diciembre), México d.f.,
Presidencia de la República, Página Internet de la Presidencia de la República:
<www.presidencia. gob.mx>
Presidencia de
la República (2000b), Iniciativa de ley enviada por el
Presidente Fox al H. Congreso de la Unión, 5 diciembre de 2000, Presidencia de la República,
Gobierno de México, México, Página Internet de la Presidencia de la República: <www.presidencia.gob.mx>
Presidencia de
la República (2001), “Fox en vivo, Fox contigo” (20 de enero), Programa
radiofónico, Cámara
Nacional de Radio y Televisión y Grupo acir, Presidencia de la
República, México, Página Internet de la Presidencia de la República:
<www.presidencia.gob.mx>.
Sandoval Forero,
Eduardo Andrés y Juan Carlos Patiño (2000), Cartografía
automatizada para la investigación de las regiones indígenas, Universidad Autónoma del Estado de
México, Toluca.
Smith, Anthony (1993), The ethic origins of nations,
The University of Chicago Press, Chicago.
Solórzano Zinser, Javier (2001), “La televisión y los zapatistas”, Revista
etcétera. Una ventana al mundo de los medios, s.p.i, México.
Stavenhagen, Rodolfo (2001), La
cuestión étnica,
El Colegio de México, México.
Stavenhagen, Rodolfo y Diego Iturralde (comps.) (1990), Entre la ley y la costumbre, Instituto Indigenista
Interamericano, Instituto Interamericano de Derechos Humanos, México.
Toussaint, Florence (2001a), “TV Concierto de
Televisa-TV Azteca”, en Revista Proceso, Semanario de información y análisis,
núm. 1266, México.
Toussaint, Florence (2001b), “La marcha
zapatista”, en Revista Proceso, Semanario de Información y Análisis,
núm. 1270, México.
Vértiz, Columba (2001a), “El concierto por
Chiapas. La unión Televisa/TV Azteca provoca el sarcasmo” en Revista Proceso, Semanario de información y análisis,
núm. 1266, México.
Vértiz, Columba (2001b), “Un comercial de
Viana entra al chacoteo político”, en Revista Proceso, Semanario de información y análisis, núm. 1269, México.
Warman, Arturo (2001), “La propuesta de la Cocopa”, La Crónica de Hoy, 12 de diciembre, México.
Enviado:
18 de abril de 2002
Aceptado: 13 de junio de 2002
[1] La grave problemática en México ha
sido analizada por importantes especialistas durante varios años, dentro de los
cuales destacan Aguirre Beltrán (1983), Stavenhagen (2001), Stavenhagen
e Iturralde (1990), Bodley (1982), Florescano (2001), Díaz Polaco (1991), Kohn
(1992), Bonfil (1988), Sandoval y Patiño (2000),
Smith (1993), Giménez (2000), entre otros. En este ensayo no repetiremos los
valiosos planteamientos expuestos por dichos estudiosos, ya que nuestro
objetivo concreto es el examen de la participación de los pueblos de indios en
el proceso de construcción de la nación a través de los medios de comunicación.
[2] Durante varias semanas de principios
del año 2001, la empresa Viana aprovechó diversas imágenes actuadas del ezln para
elaborar spots
publicitarios que promovían sus mercancías, especialmente del ramo de
electrodomésticos. Para ampliar este punto véase Vértiz
(2001b: 82).
[3] La base de esta propuesta fue elaborada por el grupo de Organizaciones de la Sociedad Civil y el Centro Nacional de Comunicación Social (cencos) y presentada al equipo de transición del presidente Fox, en las áreas de política y cultura en diciembre del año 2000 (cemefi, 2000: 7-9).